
姓名:廖震
導師:陳小宏教授
專業:地質資源與地質工程
支部:博22黨支部
研究方向:地球物理勘探,油藏分析,巖石物理建模等
我主要做地震資料處理方面的工作,研究海上地震資料的表層多次波與層間多次波壓制,以消除地震成像假象,提高地震資料的分辨率。
下圖為閉環表層相關多次波壓制方法CLSRME處理pluto數據的單炮記錄,圖a為原始單炮記錄,可以看到整體炮集上多次波與一次波互相干涉,在時間域較難分離,嚴重影響了有效信號的顯示。pluto數據經過CLSRME處理后,可以看到圖a中2.7s、3.3s、3.7s以及4.3s處的表層多次波被壓制,得到一次波預估結果如圖b所示,而且相應的多次波結果也能被準確預測。

(a)原始數據記錄 (b)預估的一次波結果 (c)壓制掉的多次波

姓名:陳桂
導師:劉洋教授
專業:地質資源與地質工程
支部:博22黨支部
研究方向:機器學習在地震信號處理、資料解釋中的應用
我個人認為,相比于本科的課程學習,科研工作要求創新,更具挑戰性且較枯燥。作為博士生,我主要還是偏向于編程,探索利用機器學習來解決一些地震學問題。也許這樣的科研生活是漫長且重復的,但請相信,厚積薄發,量變才能導致質變,表面的光鮮源于背后的努力。
下圖展示了我本科期間做的一項基于監督深度學習的地震斷層自動解釋工作。利用三維合成地震數據與其對應的斷層標簽數據來訓練三維深度卷積神經網絡,訓練好的模型被遷移應用于實際數據,將三維實際數據輸入訓練好的模型,模型能夠輸出對應的斷層概率數據(值域為[0, 1])。這項工作有效地提升了斷層解釋效率,降低了人工成本。


姓名:孫紅日
導師:張峰教授
專業:地球物理學
支部:博22黨支部
研究方向:縱橫波聯合地震勘探
地震波(彈性波)分為縱波與橫波兩種,縱波質點位移的方向與波的傳播方向平行,橫波的質點位移方向與波的傳播方向垂直。目前,通用的地震勘探方法采集的是縱波信號,而地震橫波勘探則采集橫波信號。在松散地層中橫波速度比縱波速度要低得多,因此橫波勘探精度往往大于縱波;橫波對地層的橫波速度、密度、各向異性等比縱波更為敏感,在描述油氣藏的骨架性質、物性特征、裂縫、地應力等方面具有優勢;另外橫波受流體的影響小于縱波,對松散地層勘探十分有利。因此將地震橫波引入油氣勘探能夠彌補縱波的不足,而且綜合利用彈性波(縱波和橫波)的波場數據能夠提升儲層預測精度和油氣識別能力。
下圖是中國西部柴達木盆地東部采集低頻震源和橫波震源聯合激發的高品質九分量二維地震數據集,圖1顯示了垂直可控震源和水平可控震源的炮道集之間的比較。在氣層中沒有明顯的有效縱波信號,有效波能量快速衰減,散射干擾嚴重。橫波的有效信號強,能量衰減慢,噪聲弱,S/N比高,具有高分辨率,不易受含氣影響,在含氣區域的構造成像方面具有優勢。

圖 1 垂直可控震源的炮集: (a) Z分量, (b) X分量, (c) Y分量. 水平可控震源的炮集: (d) Z分量, (e) X分量, (f) Y分量.


姓名:張卓
導師:張峰教授
專業:地質資源與地質工程
支部:博22黨支部
研究方向:巖石物理和多波地震各向異性
研究生生活即將一年,從最初對研究生生活的好奇和向往,到現在研究生生涯已走過一段時間,總結自己的研究生生活,不得不感嘆時光飛逝。研究生學習不同于本科學習,作為培養高級專業人才的研究生教育,關乎國家的未來,也對接受這種教育的個人一生的發展至為關鍵。研究生階段的學習是一個將理論學習轉化為實踐的過程,其表現即為對科研的重視,腳踏實地,將學習和科研二者緊密結合??蒲凶鳛檠芯可A段的一項重要活動,切忌浮躁,眼高手低。研究生學習中還應該做到的是 “厚積薄發”。這一點非常重要,搞科研是需要時間的,只看幾篇文獻或一兩本著作就想寫成文章來發表是不可能的??蒲惺且豁棙O為嚴謹的活動,需要科學合理的方法。掌握了正確的學習方法,就可以達到事半功倍的效果:

下面是近期做的一個數值模擬,用來驗證有限差分波場模擬過程中,緊致差分格式模擬在與常規差分格式模擬結果相同時,計算量和存儲量減少,計算效率提高。


姓名:苗發維
導師:賀艷曉教授
專業:地質資源與地質工程
支部:博22黨支部
研究方向:巖石物理實驗、巖石物理理論研究以及儲層預測方面
早上點一份禾苑的包子成為開始一天科研生活的必備操作,踏進地質樓的大門,按下五層的電梯按鈕,進入509辦公室就開始了自己的科研生活。在文獻中尋找有用信息,在翻譯整理資料中理清自己的研究思路,在代碼和算法之間形成自己的文章,在不斷錘煉自己的過程中得到成長,也許這就是科研人,用理論武裝自己,用行動找到更好的自己。夜晚的星空很美,當按下一樓的電梯按鈕,走出地質樓的大門,一天的時光從指尖溜走,得到的是自己的成長。當月光拉長自己的影子,一個背影走在去往陽光宿舍的路上,如果用一個詞去奔赴我的未來,我會毫不猶豫地選擇“奮斗”二字。
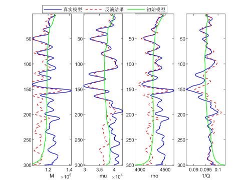
下圖為我近期的科研工作,是對于不同裂縫密度下的裂縫方位預測,右圖為彈性模量、拉梅系數、密度和品質因子反演結果。上述參數為刻畫儲層、圈定含油氣有利區提供數據支撐。


裂縫參數和儲層參數反演結果
姓名:彭雅靖
導師:周輝教授
專業:地質資源與地質工程
支部:博22黨支部
研究方向:全波形反演
作為一名博士生,我的研究任務是通過反射波反演來了解地下的物質分布和性質。在研究過程中,我積極參與學術交流和合作,與其他課題組和學者一起分享和探討各自的研究成果和經驗。通過這些交流和合作,我得到了很多寶貴的建議和指導,并且也為我的研究提供了新的思路和視角。在未來的研究中,我將繼續深入研究全波形反演的理論和方法,并嘗試將反射波反演應用到更廣泛的領域,為地球科學的研究做出更大的貢獻。

傳統的FWI主要通過使用回折波更新更新背景速度場,然而當傳統的FWI應用于地球深層結構唯一信息來源的反射數據集時,反演會表現出更強的非線性,使得反演結果并不理想。為了克服這一局限性,可以將波動方程傳輸走時反演 (WTI)擴展到波動方程反射走時反演 (WRTI)。
