論文題目:基于自適應觀測器的控壓鉆井氣侵早期檢測方法
錄用期刊/會議:中國石油大學學報(自然科學版)(EI中文期刊)
錄用/見刊時間:2023.12.06
作者列表:
1)尹士軒 中國石油大學(北京)信息科學與工程學院/人工智能學院 控制科學與工程 博23
2)徐寶昌 中國石油大學(北京)信息科學與工程學院/人工智能學院 自動化系 教師
3)孟卓然 中國石油大學(北京)信息科學與工程學院/人工智能學院 控制科學與工程 博20
4)陳貽祺 中國石油大學(北京)信息科學與工程學院/人工智能學院 控制科學與工程 博21
5)尤香凝 中國石油大學(北京)信息科學與工程學院/人工智能學院 控制科學與工程 碩21
控壓鉆井過程中,鉆遇窄安全壓力窗口的地層可能會出現氣侵等井下異常工況。本文以氣侵的早期檢測為目標,應用自適應觀測器估計井下不確定參數及未知狀態,并基于此構建氣侵檢測方法。首先,以“雙形”氣泡表示方法為基礎建立了簡化氣液兩相流模型,并與OLGA仿真數據對比,以驗證模型有效性。其次,將氣藏產能指數與氣體密度視為不確定參數,氣體體積視為未知狀態,設計并應用一種類Luenberger自適應觀測器估計井下氣侵工況的關鍵參數及狀態,并結合霍特林的T2檢驗統計構建氣侵檢測方法。最后,仿真分析表明,本文所設計的自適應觀測器能夠很好地與簡化兩相流模型相結合,用于實時估計侵入井筒內的氣體體積并準確跟蹤井底壓力和出口流量的變化。本文所構建的氣侵檢測方法相較于聲波法、出入口流量差法和總池體積法,能夠在不同氣侵程度下快速且顯著地實現氣侵早期檢測。
隨著鉆井深度的不斷增加,鉆遇窄安全壓力窗口地層的概率會增大,易出現氣侵、溢流等井下異常工況,嚴重威脅著鉆井安全。控壓鉆井(Managed Pressure Drilling, MPD)技術被證明是快速提升井筒安全的有效方法,通過精確控制井筒壓力可以有效抑制氣侵作用,達到減少非鉆進時間以及減少鉆井事故的目的。但在實際過程中,井侵氣體運移至井筒中部甚至是中上部才開始劇烈膨脹,進而造成總池體積、出口流量的急劇增加,若此時采取控壓措施,往往錯過了抑制氣侵的最佳時期,嚴重情況可能會造成井噴等重大鉆井事故。因此,早期檢測氣侵對于MPD系統安全有效抑制氣侵至關重要。
(1)簡化氣液兩相流模型
為模擬侵入井筒內氣體的運動,將整個井筒看作一個固定邊界的控制體積(Control Volume, CV),且CV中僅包含一個氣泡,氣泡的描述采用“雙形”氣泡表示方法。

圖 1 “雙形”氣泡表示方法
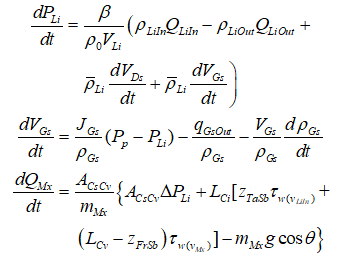
簡化氣液兩相流模型方程如下:

實際氣侵過程中,氣藏產能指數無從得知,且無法準確判斷侵入何種氣體,因此可將其設為不確定參數。令
,
,
,簡化兩相流模型可改寫為如下狀態空間形式,其中
均為常數。

(2)自適應觀測器設計
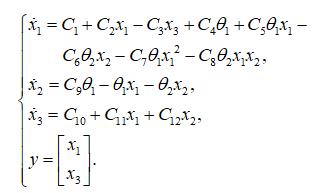
考慮如下形式的非線性系統:

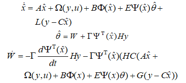
設計可聯合估計不確定參數和未知狀態的類Luenberger觀測器:

(3)氣侵檢測方法
采用霍特林的T2檢驗統計完善氣侵早期檢測方法,該方法由數據驅動離線設計與在線氣侵檢測兩部分組成。

圖 2 基于自適應觀測器的氣侵檢測方法
將簡化兩相流模型與OLGA仿真數據對比,以驗證該模型應用在氣侵早期檢測中的有效性。

圖 3 簡化兩相流模型與OLGA仿真數據對比
針對簡化兩相流模型,應用自適應觀測器進行仿真分析,采用OLGA模擬器生成數據作為仿真實驗的真實值數據來源。

圖 4 不確定參數估計值和真實值

圖 5 狀態估計值和真實值(OLGA數據)
圖4仿真結果表明:不確定參數均能在60s內收斂至真實值,收斂速度快且估計結果準確。由圖5仿真結果可知:在氣侵工況下,本文所提自適應觀測器能夠使估計值在60s內跟蹤上正在變化的井底壓力和出口流量,且后續的估計誤差幾乎為0,體現了觀測器良好的跟蹤性能。自適應觀測器在60s時對氣體體積的估計誤差為0.21m3,在120s時估計誤差縮小至0.15m3,在180s后估計誤差幾乎為0。表明本文所提自適應觀測器在不確定參數給定初值與真實值相差較大時,仍能將不確定參數收斂至真實值。自適應觀測器對井筒內氣體體積的估計效果良好,估計誤差能夠保持在很小的區間內并持續縮小至0。
為驗證本文氣侵早期檢測方法應用于實際工況的有效性,選用聲波法、出入口流量差法和總池體積法進行對比實驗。

圖 6 四種氣侵早期檢測方法的檢驗統計量對比
對比其他三種方法的檢驗統計量變化顯著程度,該方法遠大于其他檢測方法,可有效避免誤報警。此外,為充分說明本文氣侵早期檢測方法的有效性,對比分析了不同氣侵程度下四種檢測方法的氣侵檢測時間。

圖 7 四種氣侵早期檢測方法的檢測時間對比
對比分析可知,特別在氣侵程度較小的情況下,本文氣侵早期檢測方法相較于聲波法、出入口流量差法和總池體積法表現出更好的診斷性能,能夠及時且靈敏地檢測出氣侵。
(1)基于“雙形”氣泡表示方法建立了簡化氣液兩相流模型,通過與OLGA仿真數據對比,驗證了該模型在復雜度適中的情況下能保證良好的計算精度。
(2)設計了一種基于觀測器匹配條件的自適應觀測器,用于實時估計井下氣侵工況的不確定參數(氣藏產能指數及氣體密度)與未知狀態(氣體體積),在此基礎上結合霍特林的T2檢驗統計構建氣侵檢測方法。
(3)仿真結果表明,當氣侵正在發生時,本文所設計的自適應觀測器能夠實時估計侵入井筒的氣體體積并準確跟蹤井底壓力和出口流量的變化。基于該自適應觀測器的氣侵早期檢測方法相較于聲波法、出入口流量差法和總池體積法,可以在不同氣侵程度下快速且顯著地檢測出氣侵,能夠為抑制氣侵贏得寶貴時間。
徐寶昌,副教授
博士生導師/碩士生導師。長期從事復雜系統的建模與先進控制;鉆井過程自動控制技術;井下信號的測量與處理;多傳感器信息融合與軟測量技術等方面的研究工作。現為中國石油學會會員,中國化工學會信息技術應用專業委員會委員。曾參與多項國家級、省部級科研課題的科研工作,并在國內外核心刊物發表了論文70余篇;其中被SCI、EI、ISTP收錄30余篇。