論文標題:Revenue-Optimal Task Scheduling and Resource Management for IoT Batch Jobs in Mobile Edge Computing
錄用期刊:Peer-to-Peer Networking and Applications (SCI,JCR Q2,CCF C類)
作者列表:
1)黃霽崴 中國石油大學(北京) 信息科學與工程學院 教授
2)李松遠 北京郵電大學 網絡與交換技術國家重點實驗室 2018級碩士
3)陳 瑩 北京信息科技大學 計算機學院 副教授
原文DOI: https://doi.org/10.1007/s12083-020-00880-y

QoS感知的任務調度和資源管理方法針對移動邊緣計算架構設計,如上圖所示。邊緣服務供應商將多個邊緣服務器部署在各處基站的位置,基站負責和用戶維持數據通信和任務交互,用戶提交的任務請求在邊緣服務器端處理。用戶的任務請求通常被調度到鄰近的邊緣服務器,所以相較于將任務調度到遠程云端,大幅減少了任務響應時間和任務傳輸帶寬。在用戶分布密度較大的區域(如城市中央商務區),與用戶鄰近的邊緣服務器會有多個。本部分充分考慮如上情況的任務調度策略。同時,一個邊緣服務器在相應基站的信號覆蓋范圍內通常被多個用戶共享,而多個用戶間達成對邊緣服務器的資源競爭關系。用戶在邊緣服務器內分配得到更多計算資源,意味著更快的任務處理速度,即更高的QoS。因此,本部分也同時關注邊緣服務器內的資源管理問題。
本部分的任務調度和資源管理充分了時間動態性,用戶跨邊緣基站的信號覆蓋范圍操作位置移動。任務調度和資源管理算法,在不同的時間槽下,根據當前各用戶位置和邊緣服務器計算資源使用情況,做出任務調度和資源管理的決策。決策結果滿足多用戶的QoS需求,并且最大化邊緣供應商的總服務收益,維護邊緣服務生態的可持續性發展。
具體地說,首先,建立關于移動邊服務動態過程的數學模型,給出QoS指標(即任務響應時間)的計算解析式。其次,基于模型描述,設計最大化邊緣服務供應商收益的優化模型,并以用戶QoS需求作為優化模型的約束條件。然后,針對優化模型,設計高效的調度算法,分析算法時間復雜度。最后,基于邊緣計算數據集,設計仿真實驗,驗證調度算法的有效性和高效性。
1. 最大化邊緣供應商收益的任務/資源優化模型
用戶發起的任務請求允許跨邊緣端地調度到多個邊緣服務器。αi,j(t)表示于時間槽t分配給用戶i的任務請求的、位于邊緣服務器j的資源實例數量。任務/資源的優化決策在每個決策時間槽Γ執行。優化目標是最大化邊緣供應商收益,收益來自各用戶上報的服務預算Bi。任務/資源優化模型的形式化定義如下圖所示,資源約束表示在每個時間槽t向所有用戶分配的總資源數量不超過資源容量,而QoS約束表示對任務請求i的調度和資源決策僅在任務執行期限
前操作。

任務/資源優化模型
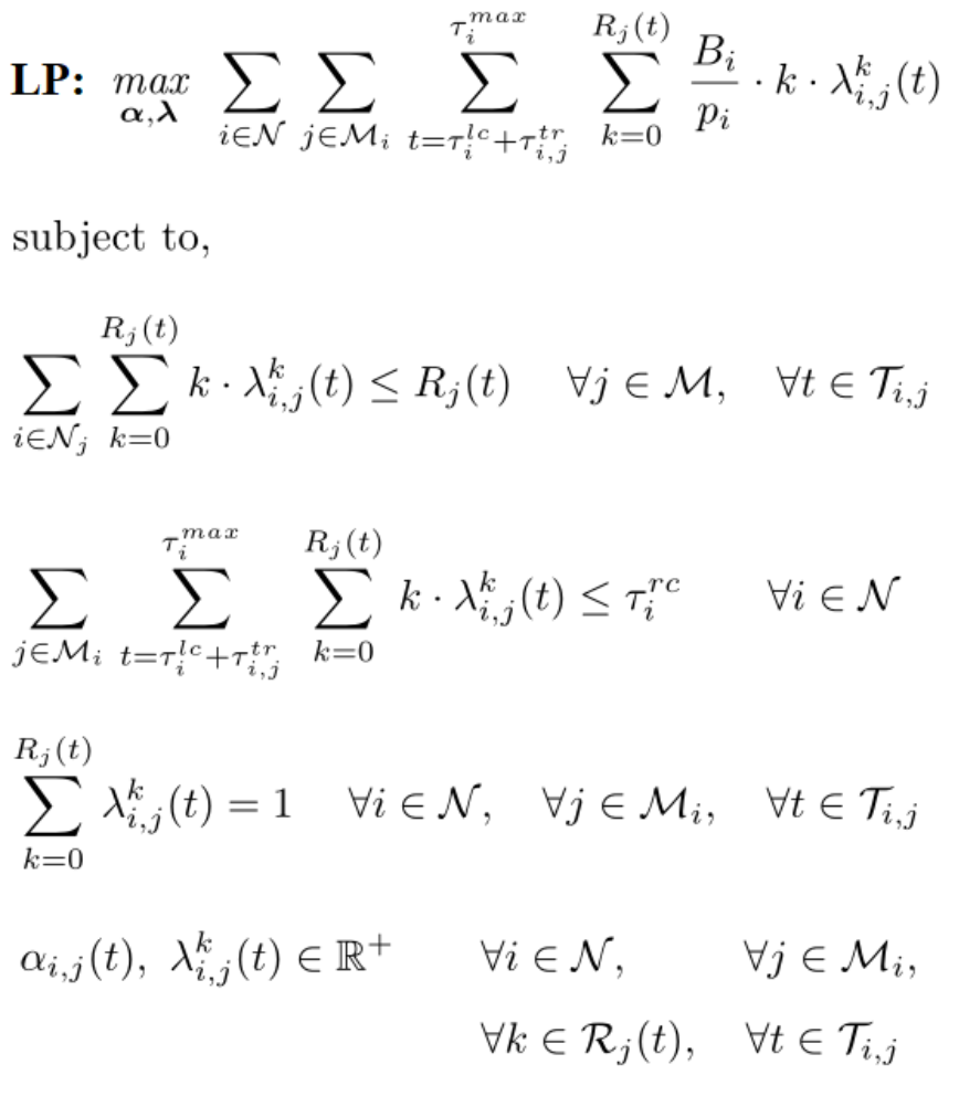
2. 基于線性規劃的任務/資源決策模型
上圖定義的優化模型是整數規劃(Integer Programming, IP)問題,屬于NP難題。 因此,借助優化約束式的完全幺模性質,利用λ-優化求解技術,上圖的整數規劃問題可以通過線性規劃技術等效地求解。線性規劃問題可以使用高效算法(如單純形算法,內點法)和求解器(如MOSEK,CPLEX)求解。基于線性規劃的決策優化模型如下圖所示。

線性規劃決策模型
3. 跨邊緣端的動態任務調度和資源管理算法
下圖算法敘述了跨邊緣端的任務調度和資源管理算法,實現了邊緣供應商收益的最大化。當為用戶的服務請求提供調度決策時,同時確定分配的邊緣資源數量。對任務調度和資源管理的決策沿著決策時間槽Γ動態執行;在每一決策時間槽Γ,更新各移動用戶的位置信息,收集新提出的任務請求,并依此操作決策。

任務調度和資源管理算法

邊緣供應商在不同算法下的服務收益

移動物聯網設備在不同算法下的任務完成率

不同移動IoT設備規模下邊緣供應商的服務收益

不同系統規模下的算法運行時(系統規模指,移動IoT設備/邊緣服務器的數量)
經過實驗驗證,我們算法的有效性和效率得到充分驗證。
黃霽崴 博士,教授,博士生導師,石油數據挖掘北京市重點實驗室主任,中國石油大學(北京)計算機科學與技術系主任。2015年度北京市優秀人才,2018年度中國石油大學(北京)優秀青年學者,2020年度北京市科技新星。分別在2009年和2014年于清華大學計算機科學與技術系獲得工學學士和工學博士學位,2012-2013年國家公派赴美國佐治亞理工學院聯合培養。研究方向包括:系統性能評價和優化、隨機模型理論和應用、服務質量測量與保障技術、服務計算和物聯網等。擔任中國計算機學會(CCF)服務計算專委會委員,CCF高級會員,IEEE、ACM會員。已主持國家自然科學基金、北京市自然科學基金等科研項目13項,在國內外著名期刊和會議發表論文五十余篇,出版學術專著1部,獲得國家發明專利5項、軟件著作權3項,擔任多個國際頂級期刊和知名會議審稿人。聯系郵箱:huangjw@cup.edu.cn。