論文題目:Applying a 532-nm Laser to Reduce the Viscosity of Crude Oil
錄用期刊:Energy&Fuels (2020, JCR Q2)
原文DOI:10.1021/acs.energyfuels.0c01643
作者列表:
1) 張善哲 中國石油大學(北京)信息科學與工程學院 電子信息工程系 博18級
2) 苗昕揚 中國石油大學(北京)新能源與材料學院 材料系
3) 梁華慶 中國石油大學(北京)信息科學與工程學院 電子信息工程系
4) 趙 昆 中國石油大學(北京)新能源與材料學院 材料系
原油粘度是石油生產和運輸中的重要指標之一。 在本文中,我們研究了在532 nm激光照射下原油電流,溫度和粘度的變化。由于多光子的吸收和級聯電離,電流和溫度都隨著激光的開啟而增加。同時,激光的輻射導致原油中化學鍵的斷裂,從而造成原油粘度的降低。
在石油工業中,重油的粘度是石油生產和運輸中的重要指標。與輕質原油不同,低分子量的碳氫化合物在重質油中所占比例不到總含量的20%~60%。在原油中,互鎖的網絡結構決定了油的密度和粘度,同時也影響著原油的流動性。在石油特別是重質原油的運輸過程中,高粘度對石油的開發和開采提出了挑戰。在過去的幾十年中,激光技術以其快速、準直、無接觸等優點在許多領域得到了廣泛的應用。激光加熱技術在數據存儲中起著重要的作用,激光技術可以通過對磁盤上的信息進行讀寫來實現數據的記錄。此外,大功率激光在石油和天然氣鉆井中的應用也引起了人們的極大興趣。激光鉆井或激光輔助鉆井具有高穿透速度和高效射孔、側向跟蹤能力等優點。由于快速、準直、非接觸的優點,激光技術也有顯示了其在石油工業中的應用潛力。在這項工作中,我們使用波長為532nm的穩態激光來降低原油的粘度。當激光輻射原油表面時,粒子吸收激光的能量導致電導率和溫度的升高。

圖1 實驗裝置示意圖
原油樣品來自委內瑞拉。為了降低原油中的水分含量,我們術對所研究的原油進行脫水。實驗過程中,樣品放置在長20mm、寬10mm、高45mm的石英比色皿中。我們利用波長為532 nm的激光輻射樣品,采集信號并加以分析。激光功率的調節范圍是0.748 ~ 1.952 W。我們使用Keithley 2400源電表提供偏壓(范圍從-50到170 V)并同時記錄電流。我們用兩種不同電導率的材料制作的熱偶溫度計對原油的溫度進行測量。

圖2(a)在不同激光功率下,原油樣品的電流隨時間的變化;(b)不同偏置電壓下,原油樣品的電流隨時間的變化;(c)在不同激光功率下測量電流時,原油溫度隨時間的變化;(d)在不同的偏置電壓下測量電流時,原油溫度隨時間的變化。

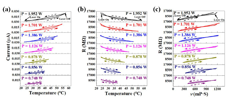
圖3(a)在不同激光功率下, 電流與溫度之間的關系;(b)在不同激光功率下,原油的電阻R隨著溫度的變化;(c)在不同激光功率下,原油的電阻R隨原油粘度v的變化。

圖4 原油粘度的變化量(?v)隨激光功率的變化。
由于多光子的吸收和級聯電離,激光輻射液體導致液體的溫度的升高。溫度升高將導致離子數量的增加,從而造成原油電導率的上升。此外,重油的粘度和溫度密切相關。隨著溫度從高到低變化,重油將從牛頓型變為非牛頓型,而油的粘度也會降低。這是因為重油中的膠體和瀝青質分子的結構特征和相互作用使重油體系形成穩定的氫鍵。當系統獲得足夠的能量時,氫鍵將被破壞。因此,重油的粘度將大大降低
張善哲,博士,中國石油大學(北京),信息科學與工程學院控制理論與控制工程專業。研究方向:油氣光學探測技術、信號檢測與處理。聯系方式:Email:zhangshanzhe0910@163.com
梁華慶,教授,中國石油大學(北京),信息科學與工程學院電子信息工程系,博士生導師,校級品牌課教師,中國電子教育學會信息與電子學科研究生教育委員會理事。主要研究方向:微弱信號檢測與處理、測控技術與石油儀器、油田自動化。主持國家科技重大專項子課題、北京市自然基金以及油田企業的橫向項目30多項,獲國家發明專利授權6件,計算機軟件著作權10余項,獲省部級技術發明一等獎1項,部級優秀教學成果二等獎1項、三等獎1項。發表論文50余篇,其中被SCI、EI檢索30余篇。聯系方式:Email:hqliang@cup.edu.cn