中文題目:基于Dirichlet過程混合模型噪聲標簽抑制
論文題目:Attacking Noisy Labels via Dirichlet Process Mixture Models
錄用期刊/會議:CCC2025 (CAA A類會議)
錄用時間:2025.4.2
作者列表:
1)宋 宇 中國石油大學(北京)人工智能學院 自動化系 教師
2)任正平 中國石油大學(北京)人工智能學院 控制科學與工程 研18級
3)代思怡 中國石油大學(北京)人工智能學院 控制科學與工程 研23級
4)劉建偉 中國石油大學(北京)人工智能學院 自動化系 教師
摘要:
1)針對高斯混合判別分析需要預先確定混合成分個數的缺點,提出了基于Dirichlet混合模型的魯棒分類模型。
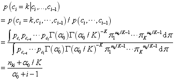
2)在Dirichlet混合模型中引入翻轉概率機制。基于貝葉斯先驗-后驗理論,我們給出了后驗分布的嚴格理論約簡。通過metropolis Hastings采樣算法,我們利用采樣得到的有限均值來計算重積分。
3)在人工合成數據集和真實數據集上進行了各種實驗,并與多基準算法進行了比較和分析。
背景與動機:
高斯混合判別分析(GMDA)方法在帶有噪聲標簽的合成數據集和真實數據集上都顯示出有希望的結果。然而,GMDA需要手動調整混合物成分的數量,這是一個關鍵參數,如果設置不當,會導致計算復雜性增加或預測有效性降低。
主要內容:
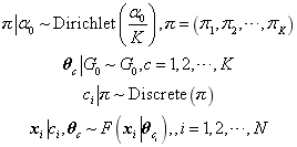
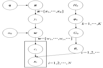
Dirichlet混合模型為:




圖1 Dirichlet混合模型
結論:
針對基于高斯混合模型的穩健判別分析需要預先指定混合分量,且混合分量不再隨訓練樣本而變化的問題,提出了一種基于Dirichlet過程的穩健分類算法,自適應地確定聚類數目,然后推導出類別標簽、聚類和各種參數的后驗分布,并利用metropolis Hastings采樣算法推導出聚類采樣,將多重積分替換為有限均值采樣。實驗結果表明,基于Dirichlet過程的魯棒分類算法能夠自適應地調整聚類數目,對帶有標簽噪聲的數據具有良好的性能。
作者簡介:
劉建偉,教師。