中文題目:用于深水氣田井下壓力預測的知識指導型機器學習方法
論文題目:Knowledge-guided Machine Learning Method for Downhole Gauge Record Prediction in Deep Water Gas Field
錄用期刊/會議:Offshore Technology Conference Asia, 2024(EI)
原文DOI:https://doi.org/10.4043/34844-MS
原文鏈接:https://onepetro.org/OTCASIA/proceedings/24OTCA/3-24OTCA/D031S020R004/541869?searchresult=1
錄用/見刊時間:2024年2月22日
作者列表:
1)鄭海妍 中國石油大學(北京)信息科學與工程學院/人工智能學院 油氣人工智能 博22
2)林伯韜 中國石油大學(北京)信息科學與工程學院/人工智能學院 教師
3)姜 潔 中國石油大學(北京)信息科學與工程學院/人工智能學院 教師
4)金 衍 中國石油大學(北京)石油工程學院 教師
5)彭 龍 浙江海洋大學 石油化工與環境學院 教師
文章簡介:
本文提出了一種結合物理模型與機器學習模型相結合來預測井下壓力的方法。首先,對井口和井底的歷史溫度和壓力數據進行了收集,并基于井筒多相流理論建立了機理模型,以描述井筒管道的流動行為。接著,利用XGBoost和前饋神經網絡構建了數據驅動的井底壓力預測模型。最后,在這兩個模型的基礎上,建立了一個知識引導的機器學習(KGML)模型,將基于物理模型的領域知識作為自適應權重納入損失函數,以確保在訓練過程中遵循物理約束。
摘要:
深水氣田通常使用永久性井下壓力計 (PDG)來監測井下壓力。然而,在高溫高壓條件下,PDG 在生產初期很可能發生故障,維修或更換 PDG 的費用十分昂貴。因此,建立井底壓力計量的高效模型至關重要。本文提出了一種基于物理的模型與機器學習模型相結合來預測井下壓力的方法。首先,對井口和井底的歷史溫度和壓力數據進行了收集,并基于井筒多相流理論建立了機理模型,以描述井筒管道的流動行為。接著,利用機器學習方法XGBoost和前饋神經網絡構建了數據驅動的井底壓力預測模型。最后,在這兩個模型的基礎上,建立了一個知識引導的機器學習(KGML)模型,將基于物理模型的領域知識作為自適應權重納入損失函數,以確保在訓練過程中遵循物理約束。基于南海深水氣田兩口井收集到的實際數據,我們進行了一系列實驗,旨在評估所提出的井下壓力預測方法。與純數據驅動模型相比,KGML模型顯著降低了壓力分布偏移,使壓力預測的平均絕對百分比誤差(MAPE)提高了約 50%。因此,KGML 模型可以定量描述井口溫度或壓力數據與井下對應數據之間的復雜關系。此外,KGML在氣田的不同井場都表現出穩健的性能,這意味著它可以擴展到各種深水氣井,以解決PDG故障難題。因此,該模型可為深水區域的井下測量提供一種高效、經濟的方法。
背景與動機:
傳統的井筒兩相流機理模型在預測實際井底壓力時存在一定偏差,單純的機器學習模型存在概念漂移和可解釋性差的問題。本文針對凝析氣井生產初期的特點,提出了一種嵌入多相知識的數據驅動建模框架。 該方法結合井筒多相流理論知識和智能算法計算井下壓力,并通過臨井的現場應用驗證了該方法的效果。
設計與實現:
本文首先基于井筒多相流理論建立了井底壓力機理模型,其次利用XGBoost和全連接神經網絡建立基本的機器學習模型,最后通過損失函數連接了機理模型和機器學習模型,主要內容如下:
1.井筒多相流機理模型
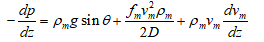
井筒壓降模型主要由重力壓降、摩擦壓降和加速度壓降組成,公式如下:
(1)
其中,ρm是氣液混合物的密度(kg/m3);fm是摩擦系數(無量綱);z為井深(m);vm是氣液混合物的速度(m/s);D是油管直徑(英寸)。
以井口深度(z0)和井口壓力(p0)的初始條件,假設溫度沿井深線性分布,通過井筒在空間上離散化,并逐段求解溫度和壓力值,便可得到井筒壓力沿深度的分布。
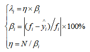
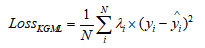
2.知識引導的機器學習模型
模型訓練的本質在于損失函數,當損失函數變化時,會給模型帶來不同的預測趨勢。一般機器學習的損失函數考慮了模型預測值的觀測誤差,通常是均方誤差,忽略了物理誤差。受Ma等人(Ma et al.,2022)研究的啟發,KGML方法的損失函數(Eq.2)添加了自適應加權因子。自適應權重允許模型辨別不同樣本的重要性,對于物理知識中存在較大預測誤差的樣本,在損失函數計算中將分配到更高的權重。
(2)
(3)
λi表示分配給機械知識的權重。每個樣本都被賦予了一個自適應權重,根據式(4)進行計算。
(4)
實驗結果及分析:
1. 知識指導的機器學習模型效果分析
表1 五種模型在測試集上的評估指標

實驗結果表明,采用XGBoost的機器學習模型表現出優異的性能,與FNN和多相流模型相比,具有更高的準確性。
在融入知識引導后,兩個模型都展現出了更好的預測性能。這表明多相流機理知識權重的整合有助于糾正與理論預期不符的預測,從而產生更具科學可信度的結果,并減輕了機器學習模型中的概念漂移現象。
2. 知識指導的XGBoost模型對數據量的敏感性分析
本研究使用20%、40%和60%的原始數據集進行訓練,采用知識引導的XGBoost作為預測模型,評估指標的表現如下:
|
|
圖1 不同訓練數據量下模型的評估指標
對于僅使用20%的數據集訓練的模型來說,機理知識的加入使MAPE降低了60%,R2提高了12%。這突出了機理知識在提供關鍵先驗信息方面的作用,使數據驅動的模型即使在有限的樣本下也能穩健地計算。隨著數據量的逐漸增加,機理知識對機器學習模型性能增強的影響逐漸減弱。
3. 鄰井應用效果
選擇鄰井175天的穩定生產期的生產數據和井下傳感器數據作為測試數據。應用知識指導的XGBoost模型進行壓力預測,結果如下:

圖2 鄰井的井底壓力預測結果
結論:
1. 將井筒多相流機理知識與機器學習模型相結合科學可行。在力學知識的指導下,模型不僅能解決數據觀測誤差問題,還能解決力學擬合誤差問題。自適應權重的使用大大提高了預測能力,減少了過擬合,并在測試集上表現出優異的性能。
2.知識引導的 XGBoost是井下壓力傳感器的最佳替代模型,獲得了0.9948的R2 和0.11%的MAPE,該模型在鄰井的應用進一步驗證了其泛化能力。
3.在樣本有限的情況下,機理知識的融入尤其有效。當模型缺乏足夠的數據來學習模式時,引入機理知識就變得至關重要。因此,該框架可以擴展并應用于其他低樣本問題。
通訊作者簡介:
林伯韜, 博士,中國石油大學(北京)信息科學與工程學院/人工智能學院計算智能教學與研究中心教授/博導。主要研究方向為智能石油工程、工業數字孿生和智慧能源金融。