中文題目:控壓鉆井井下氣侵工況的自適應參數及狀態估計
論文題目:Adaptive parameter and state estimation of managed pressure drilling while downhole gas kick
錄用期刊/會議:控制與決策 (EI中文期刊)
原文DOI:10.13195/j.kzyjc.2022.0673
發表時間:2024-2
作者列表:
1) 徐寶昌 中國石油大學(北京)信息科學與工程學院 自動化系教師
2) 孟卓然 中國石油大學(北京)信息科學與工程學院 自動化專業 博20
3) 陳貽祺 中國石油大學(北京)信息科學與工程學院 自動化專業 博20
4) 劉 偉 中國石油集團工程技術研究院有限公司
5) 吳 楠 中國石化工程建設有限公司
摘要:
針對控壓鉆井過程中井下可能發生氣侵的特殊工況,提出一種可在異常工況下估計井底壓力,并借此判斷異常工況的方法.首先,基于簡化的漂移通量模型,在傳統控壓鉆井水力學模型中添加了氣體膨脹項,建立了控壓鉆井氣液兩相流模型;其次,將井下環空摩擦積分和井底氣侵量視為未知參數,將井底流量視為未知狀態,設計了一種可對未知參數以及未知狀態進行聯合估計的自適應觀測器,并以此為基礎估計井底壓力.最后,通過仿真實驗驗證所提方法的有效性.仿真結果表明,所建氣液兩相流模型可在井下發生氣侵時模擬井底壓力變化,且所提觀測器能實時準確地跟蹤井底流量及壓力變化
背景與動機:
面對氣侵、漏失等井下復雜事故,控壓鉆井( Managed Pressure Drilling, MPD)可以有效避免事故加劇并穩定井底壓力,大大提升鉆進效率.但是,深部地層環境復雜、 存在眾多不確定因素及干擾且監測成本高,導致井下反饋信息極為不清晰,不能及時判斷異常工況.這將使得地面控制器難以及時獲取所需要的參數及狀態信息,嚴重影響了實時控制效果.因此,研究可靠的井下信息估計方法對于控制井底壓力、減弱復雜事故的發生至關重要。
設計與實現:
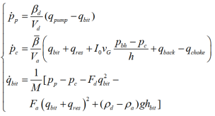
1、氣液兩相流簡化模型
上述漂移通量方程難以直接應用于井底壓力的估計問題,需要對其進行簡化.簡化過程中使用的假設條件包括已有的漂移通量假設,在推導氣液兩相流簡化模型前,還提出另外三個假設,并給出最終簡化后的模型表達形式。

同時, 當井下發生氣侵時, 井底壓力的計算需加入下式:
![]()
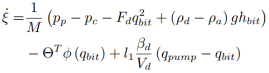
2、觀測器構造
由于泥漿泵出口壓力和井口回壓為可測的井上壓力, 而井底流量為不可測變量, 定義如下關于泥漿泵出口壓力和井底流量的坐標變換:

對上式求導可得:

將上式改寫為如下形式:

關于井底流量的觀測器設計如下:

計算誤差項整理得到關于誤差項的微分方程

實驗結果及分析:
針對已建立的氣液兩相流模型,使用自適應觀測器估計井下未知參數及狀態。首先假設井底已發生氣侵,井下未知參數的估計結果如圖1—圖3所示,井底流量和壓力的估計結果如圖4—圖5所示。



圖1未知參數θ1仿真結果 圖2未知參數θ2仿真結果 圖3未知參數θ3仿真結果

圖4氣侵工況下井底流量仿真結果 圖5氣侵工況下井底壓力仿真結果

圖6單相水力學模型氣侵工況下井底流量仿真結果 圖7單相水力學模型氣侵工況下井底壓力仿真結果
仿真結果表明, 在氣侵發生前, 環空中無氣相存在, 文獻[12]所提單相水力學模型準確刻畫了井底壓力與井底流量的變化趨勢, 其自適應觀測器能夠準確地估計井底流量與壓力. 但是, 當仿真進行至300s 時, 井下突然發生氣侵, 環空流體從單相流轉變為氣液兩相流, 文獻[12]中提出的機理模型及觀測器方法估計精度大大降低, 自適應觀測器估計井底流量的平均相對誤差達到了74.67%,估計井底壓力的平均相對誤差為1.52%。
結論:
本文首先對漂移通量模型所構建的PDE方程組進行簡化, 建立了一種簡化的ODE氣液兩相流模型。其次, 根據該兩相流模型設計了一種估計精度高、可靠性強的自適應觀測器, 用于同時估計井下未知參數 (環空摩擦積分) 和未知狀態 (井底壓力及井底流量), 并通過 Lyapunov 穩定性理論證明了觀測器的收斂性。仿真結果表明, 簡化的兩相流模型有效平衡了計算精度與模型復雜度, 準確反映了氣液存在時井下變量的動態變化。特別是在氣侵發生時, 提出的自適應觀測器可以實時準確地觀測井底流量及壓力變化, 為井下復雜事故診斷與監測方法提供了新的思路。
作者簡介:
徐寶昌,教授,博士生導師,長期從事復雜系統的建模與先進控制;鉆井過程自動控制技術;井下信號的測量與處理;多傳感器信息融合與軟測量技術等方面的研究工作。現為中國石油學會會員,中國化工學會信息技術應用專業委員會委員。曾參與多項國家級、省部級科研課題的科研工作,并在國內外核心刊物發表了論文60余篇;其中被SCI、EI、ISTP收錄20余篇。