中文題目:基于平滑 MUSIC 的高分辨率方向性被動源面波頻散譜成像方法
論文題目:High-resolution Directional Passive Surface Waves Dispersion Imaging Based on Smoothing MUSIC
錄用期刊/會議:IEEE Geoscience and Remote Sensing Letters (中科院大類3區)
原文DOI:10.1109/LGRS.2024.3506165
錄用/見刊時間:2024.11.20
作者列表:
1) 薛亞茹 中國石油大學(北京)人工智能學院 電子系教師
2) 梁 琪 中國石油大學(北京)人工智能學院 碩21
3) 曹靜杰 自然資源部京津冀城市群地下空間智能探測與裝備重點實驗室
4) 姜 明 鵬城實驗室
5) 馮璐瑜 中國石油大學(北京)人工智能學院 博20
6) 蘇軍利 中國石油大學(北京)人工智能學院 碩21
7) 張 程 中國石油大學(北京)人工智能學院 博24
摘要:
被動源面波頻散成像廣泛應用于淺地表橫波速度反演中。然而,由于強方向性噪聲源的存在導致頻散譜往往偏離真實值。傳統的波束形成方法能夠校正頻散譜,但分辨率有限。此外,實際記錄包含隨機噪聲,會進一步降低了成像質量。為了解決頻散譜成像分辨率較低及抗噪性問題,我們基于多重信號分類算法(MUSIC)及陣列空間平滑處理技術,提出了一種高分辨率的頻散成像方法(SV-MUSIC)。首先,在MUSIC算法中引入速度變量來識別環境噪聲的主導方位,提取稀疏的f-v譜。為進一步消除隨機噪聲的影響,對整個陣列進行劃分及對空間相關矩陣進行平滑處理。模擬實驗及現場試驗證明了方法的有效性,能夠在隨機噪聲條件下實現高分辨率的頻散譜估計。
背景與動機:
近年來,在淺地表面波成像中,利用環境背景噪聲(潮汐、微震或交通噪聲)反演地層S波速度的面波方法引起了廣泛的關注。與主動源面波成像方法不同,被動源面波成像方法易于部署,對環境友好,且能夠提供更寬的低頻信息反演更深層次的地質構造。該方法通常假設噪聲源在空間上均勻分布,各方向振幅能量基本一致。然而,這一假設在實際環境中很難滿足,使得經驗格林函數出現不對稱和虛假到時的情況,導致面波頻散譜估計偏高。近年來,越來越多的學者關注在非均勻噪聲源分布下提取準確頻散譜。目前,大多數方法考慮常規的波束形成方法對頻散譜進行方位校正,分辨率有限,且未考慮到隨機噪聲的干擾。
設計與實現:
本文提出了一種基于多重信號分類算法(MUSIC)與空間平滑處理技術的被動源面波頻散成像方法,能夠有效提高頻散譜的分辨率,并且克服了基于MUSIC算法的頻散成像方法在噪聲情況下頻散譜質量下降的問題。
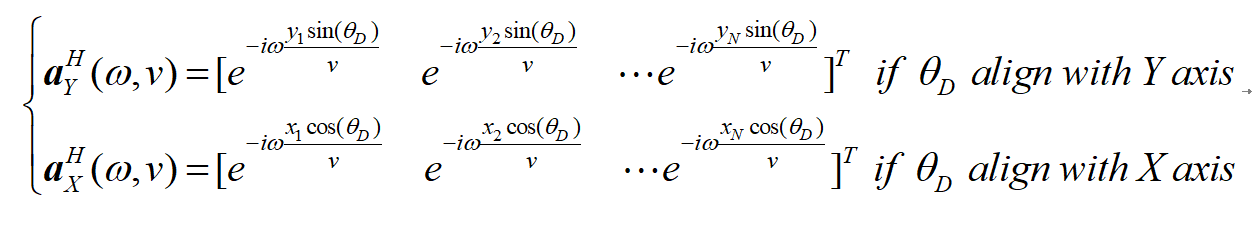
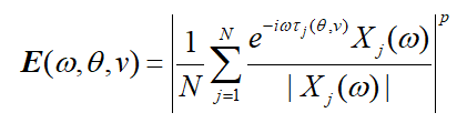
基于常規的波束形成(傾斜疊加)的頻散成像方法,如下式所示。
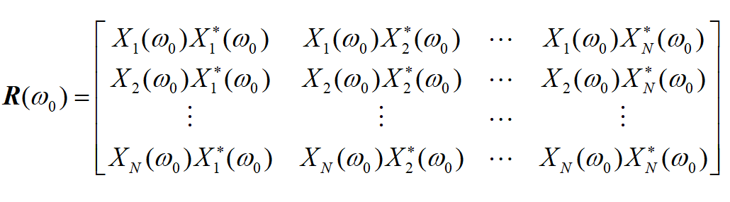
基于MUSIC算法頻散成像方法,其大致流程如圖1所示。首先構造頻域的空間相關矩陣(SCM)。
利用特征值分解,在不考慮隨機噪聲的情況下,根據特征值大小將SCM劃分為面波信號子空間和零子空間。其中,面波信號子空間由第一個大特征向量構造,而零子空間則由其他較小的特征向量構造。利用零子空間與導向矢量的正交性,從而獲得高分辨率的頻率-方位-速度譜。
將上述的三維張量沿速度方向進行疊加,得到頻率-方位譜。其中,譜峰值處對應的方位作為噪聲源的主導方位。
在頻率-方位-速度譜中沿主導方位切片提取主導方位下的頻率-速度譜,形成最終的頻散譜。
圖1 基于MUSIC算法的頻散成像基本流程
為了提高方法在噪聲環境下的魯棒性,本文設計了一種空間平滑方法來減輕噪聲的影響。首先,確定優勢方位角。隨后,將L型陣列分解為兩個垂直的線陣,并選擇與主導方位更對齊的最優線陣,并構造相應的導向矢量。
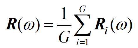
將線陣分成若干組,分別計算每組子陣列的空間相關矩陣,對所有子陣的空間相關矩陣取平均,得平滑后的空間相關矩陣:
基于空間平滑的MUSIC算法頻散成像方法,其方法流程如圖2所示。
圖2 基于SV-MUSIC方法頻散成像基本流程
實驗結果及分析:
我們依據理論的地層模型模擬面波頻散特性,生成不同噪聲源模型下的地震記錄,并對比不同方法下形成的頻率-方位譜與頻散譜,其相應結果如圖3、4、5所示。
A. 模擬數據-單/多主導噪聲源模型

圖3 方向性噪聲源模型及合成記錄
(a)和(b)單主導噪聲模型和合成記錄; (c)和(d)多主導噪聲模型和合成記錄
圖4 頻率-方位譜
(a)和(b)單主導噪聲模型下的傾斜疊加與MUSIC方法下的結果;
(c)和(d)多主導噪聲模型下的結果; (e)是在8Hz下從(c)和(d)中提取的方位譜對比
圖5 方向性噪聲模型下的頻散譜
(a)-(c)為傾斜疊加、MUSIC和SV-MUSIC形成的單主導噪聲模型;
(d)-(f)分別為多主導噪聲模型下的結果
為了進一步證明本文方法的有效性,我們將其應用于實際數據,試驗地點及觀測系統如圖6(a)和圖6(b)所示。圖7為檢波器所接收到的地震記錄。圖8和圖9為實際數據下采用常規波束形成、傳統MUSIC及SV-MUSIC方法得到的頻率-方位譜與頻散譜。
B. 實際數據
圖6 現場試驗
(a) 試驗場地衛星圖像; (b)觀測系統和震源分布情況
圖7 實際地震數據
(a) 單個檢波器記錄; (b) 含有強方向噪聲源的地震記錄
圖8 頻率-方位譜
(a) 傾斜疊加法; (b) 基于MUSIC方法
圖9 實際數據下的頻散譜
(a) 傾斜疊加結果; (b) MUSIC結果; (c) SV-MUSIC結果
結論:
本文提出了基于空間平滑的SV-MUSIC被動源面波頻散譜成像方法,該方法結合了MUSIC算法的高分辨率和常規波束形成方法的魯棒性優點。通過合成數據驗證了該方法的可行性,能夠在不同的噪聲模型下保持良好的性能;通過試驗數據表明,該方法不僅能獲得準確高分辨的頻散譜,且有效地抑制隨機噪聲的干擾。
作者簡介:
薛亞茹,副教授,博士生導師/碩士生導師。主要從事信號處理、圖像處理、人工智能、地球物理反演等方面研究。