論文題目:基于高壓鹽水溢流過程的自適應控制方法
錄用期刊/會議:中國控制會議, (CCF A類會議.)
錄用/見刊時間:2024.7.28-31
作者列表:
(1) 孟卓然 中國石油大學(北京)人工智能學院 控制科學與工程 博20
(2) 徐寶昌 中國石油大學(北京)人工智能學院 自動化系 教師
(3) 胡 松 中國石油大學(北京)人工智能學院 控制科學與工程 研20
(4) 陳怡祺 中國石油大學(北京)人工智能學院 控制科學與工程 博21
(5) 尹士軒 中國石油大學(北京)人工智能學院 控制科學與工程 博23
摘要:
本文致力于解決一類應用于巨厚鹽膏層的雙曲型PDEs系統的參數辨識與控制問題。首先,基于swapping design的自適應狀態估計器被建立以辨識估計模型中的未知參數,并證明了該估計器的穩定性。其次,根據辨識后的模型和無限維backstepping方法設計自適應控制器。最后,這個結果被應用在某鹽膏層地區的鉆井過程中。實驗結果表明,在已知井底初值的情況下,鉆井液密度的辨識結果可在10s內收斂至真值,而在此基礎上設計的自適應控制器更具有魯棒性。
背景與動機:
鹽膏層是指以鹽或石膏為主要成分的地層。在中國塔里木盆地DB、KS、BZ等區塊,大量鹽膏層被發育且層間發育高壓鹽水。在鉆井過程中,鉆井液體系對穩定井底壓力具有至關重要的作用。當高壓鹽水層中大量鹽水侵入并溶解到鉆井液后,鉆井液本身的聚結穩定性被破壞,進而嚴重影響鉆井安全。
設計與實現:
(1)研究內容:

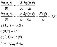
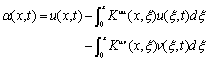
該模型經過等價坐標變換,可轉化為雙曲型線性PDE系統。

其中,
、
、
、
均為未知參數,保證
且有
,并假設存在已知的初始狀態
和
滿足
、
。

圖1 系統框圖
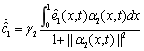
(2)參數辨識
將系統分別拆解為輸入濾波器與參數濾波器系統。
輸入濾波器系統:


參數濾波器系統:




其中
與
為大于零的設計增益。
建立狀態、輸入濾波器和參數濾波器之間的靜態組合,形成非自適應狀態與參數估計:




使用歸一化梯度下降法可得:




其中
、
、
、
均為大于零的增益向量。值得說明的是,求得上述未知參數后,只需將對角變換(附錄)過程進行逆變換即可得到鉆井液密度的估計值。
為了方便描述,將參數和增益向量寫為矩陣形式,令:
,
,
,
,
,
且有
,
。

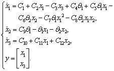
令
,
,
,簡化兩相流模型可改寫為如下狀態空間形式,其中
均為常數。

原系統(2)是一個一階線性雙曲PDE系統,其中包含兩種狀態相互耦合。該系統本質上是一個穩定的系統,并且具有瞬態響應。但由于系統狀態的強耦合性,難以得到該PDE的解析解,所以在原系統上直接進行控制器設計并不可取。考慮以下Volterra變換(backstepping transformation):


在三角域內有如下邊界條件:

實驗結果及分析:
井的詳細數據如表1所示:
表1 井的參數給定
Table 1 well parameters given


圖2 井底壓力跟蹤效果對比圖
圖3 井底壓力跟蹤效果對比細節圖
圖2呈現了三種不同的控制器對井底循環壓力的跟蹤效果,圖3是該圖像的細節展示,由圖可知,自適應控制器相較于狀態反饋控制器和輸出反饋控制器有更長的響應時間,并且壓力波動范圍也有所增加,但該控制器更符合工程實際背景,并且當段鉆井液密度出現降低時,該控制器不會如狀態反饋控制器與輸出反饋控制器一樣出現壓力突變,而是依據辨識出的鉆井液密度估計量逐步下降,另外,該處的壓力波動量更小部分所示)。總體而言該自適應控制器能準確的辨識出井內變化的鉆井液密度,對井底循環壓力進行跟蹤并能在有限時間內穩定至目標設定值,其波動范圍與響應時間均在窄壓力安全窗口鉆井系統的閾值范圍。
作者簡介:
徐寶昌,教授,博士生導師/碩士生導師。長期從事復雜系統的建模與先進控制;鉆井過程自動控制技術;井下信號的測量與處理;多傳感器信息融合與軟測量技術等方面的研究工作。現為中國石油學會會員,中國化工學會信息技術應用專業委員會委員。曾參與多項國家級、省部級科研課題的科研工作,并在國內外核心刊物發表了論文70余篇;其中被SCI、EI、ISTP收錄30余篇。