論文題目:Radon變換頻變自適應多次波壓制方法
錄用期刊/會議:地球物理學報 (中科院大類4區)
原文DOI:10.6038/cjg2023R0404
原文鏈接:http://www.geophy.cn/article/doi/10.6038/cjg2023R0404
錄用/見刊時間:2024年6月5日
作者列表:
1)馮璐瑜 中國石油大學(北京) 人工智能學院 博20
2)薛亞茹 中國石油大學(北京) 人工智能學院 電子系教師
3)張 程 中國石油大學(北京) 人工智能學院 研21
4)蘇軍利 中國石油大學(北京) 人工智能學院 研21
5)梁 琪 中國石油大學(北京) 人工智能學院 研21
6)喬佳瑜 中國石油大學(北京) 人工智能學院 博21
摘要:
拋物Radon變換(RT)是常用的多次波壓制方法之一。有限、離散的采樣空間導致一次波和多次波在Radon域混疊。為此,本文根據RT褶積模型,分析混疊機制,建立隨頻率調整的修正柯西函數混疊模型。進一步依據一次波和多次波的混疊比例設計多次波濾波器。該濾波器可根據一次波和多次波的混疊程度自適應調整濾波函數,提高多次波估計精度。和高分辨率RT進行多次波壓制實驗對比,證明了該方法的可行性和高效性。
背景與動機:
多次波的存在通常降低地震數據的信噪比和清晰度,導致地震圖像難以正確解釋和分析。因此,多次波壓制是提高地震數據質量的重要環節。RT作為常用的多次波壓制方法之一,存在保幅性能不佳、多次波估計不足等問題,且頻率越低,該問題越嚴重。因此,研究Radon變換頻變自適應多次波壓制方法具有重要意義。
設計與實現:
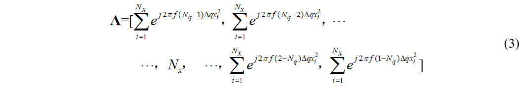
Radon共軛解
與真實Radon域系數
之間的關系為:
![]()
其中
。故上式可以表示為:
![]()
其中
為截取算子;褶積核:

由此可見,褶積核是偏移距
、頻率
等參數的函數。
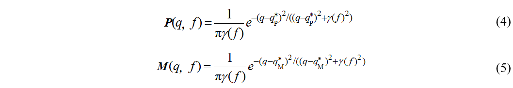
為了表征擴散的能量,建立混疊模型:

根據多次波占比設計濾波器:
![]()
頻率較高時,濾波器衰減帶下降迅速;頻率較低時,一次波和多次波混疊嚴重,衰減帶下降緩慢,如圖1所示。

圖1 不同頻率混疊結果和頻變濾波模型
(a) 10 Hz;(b) 35 Hz;(c) 60 Hz
實驗結果及分析:
為驗證本文方法應用效果,對某實際數據集進行多次波壓制實驗。圖2a是其中一個CMP道集,圖2b和2c分別為最小二乘法估計的Radon域系數和本文方法濾波后的多次波Radon域系數。容易觀察到,本文方法可對擴散的多次波能量逐漸衰減。
這一平滑過渡得益于頻域的平滑濾波。圖3a為頻域的Radon域系數,頻率越低,一次波和多次波混疊越嚴重,但從圖3b所示的濾波結果可見,本文方法可根據不同頻率的混疊程度估計多次波能量,實現了頻變平滑濾波。



圖2 墨西哥灣數據
(a) 原數據; (b) 反演的Radon域系數;(c) 本文方法估計的多次波Radon域系數


圖3 頻率域Radon系數
(a)反演的Radon域系數;(b)本文方法估計的多次波Radon域系數
本文提出的頻變方法對混疊嚴重的低頻多次波估計效果更加顯著。15Hz以下多次波剖面如圖4所示,可以看到高分辨反演方法估計的多次波能量較弱,而本文方法估計的多次波振幅得到增強,說明提取的多次波能量更充分。


圖4 15Hz以下多次波剖面對比
(a)高分辨率Radon變換;(b)本文方法
圖5a和圖5b分別展示了高分辨率方法和本文方法得到的一次波剖面。高分辨率方法估計的結果中仍有明顯的多次能量未被壓制掉,如黑色箭頭所示,而本文方法多次波殘留較少,多次波壓制更徹底。


圖5 單個CMP道集多次波壓制結果對比
(a)高分辨率Radon變換;(b)本文方法.
進一步對疊加剖面進行分析。原始數據疊加剖面如圖6a所示,在4.0 s和4.3 s附近可以看到明顯的多次波。圖6b和6c分別是高分辨率方法和本文提出方法壓制多次波后的疊加剖面。在高分辨率方法中仍有明顯的多次波殘留,如黑色箭頭所示,而本文方法的處理結果中幾乎看不到多次波殘留。這說明,本文方法有更好的多次波壓制效果。此外,高分辨率方法用時1433.79 s;而本文方法僅用時371.15 s,大大降低了計算成本。



圖6 疊加剖面多次波壓制結果
(a)原數據; (b)高分辨率Radon變換; (c)本文方法.
結論:
有限、離散空間采樣導致一次波和多次波在Radon域分離困難。本文采用可變寬度的修正柯西函數對褶積核建模,刻畫了不同頻率褶積核的能量擴散規律。進一步根據一次波和多次波的疊加比例設計平滑濾波器,表征了多次波成分在曲率域的占比,實現了多次波高效、準確提取。多次波壓制實驗證明了提出方法的效果。
通訊作者簡介:
薛亞茹,副教授,博士生導師/碩士生導師。主要從事信號處理、圖像處理、人工智能、地球物理反演等方面研究。