中文題目:面向NOMA-D2D蜂窩網絡的D2D配對和信道選擇的勢博弈方法
論文題目:A Potential Game Approach for D2D Pairing and Channel Selection for NOMA-enabled D2D Cellular Networks
錄用期刊/會議:IEEE Wireless Communications Letters (中科院大類3區,JCR Q1)
作者列表:
1)高煜洲 中國石油大學(北京)人工智能學院 計算機科學與技術 本20
2)暴嘉榮 中國石油大學(北京)人工智能學院 計算機科學與技術 碩21
3)王亞奇 中國石油大學(北京)人工智能學院 計算機技術 碩21
4)趙 杰 北京信息科技大學 計算機學院 碩21
5)陳 瑩 北京信息科技大學 計算機學院 教授
6)黃霽崴 中國石油大學(北京) 人工智能學院 教授
摘要:
在支持非正交多址(NOMA)的 D2D 蜂窩網絡中,地理位置分散的設備會爭奪有限的信道,這使得 D2D 配對和信道選擇成為一個具有挑戰性但尚未探索的研究問題。為此,我們從博弈論的角度提出了一個優化問題,其目標是在滿足地理和性能約束的同時最大化數據傳輸速率,并從理論上證明了這是一個嚴格勢博弈(EPG)。為了找到這樣的解決方案,我們提出了一種名為基于博弈的 D2D 配對和信道選擇(GDPCS)的算法,并證明了它的收斂性。此外,模擬實驗驗證了 GDPCS 算法的有效性,并證明它優于現有的最先進方法。
背景與動機:
隨著移動用戶的快速增長,無線連接正經歷著指數級的增長。有效利用閑置移動設備可以緩解用戶向云端上傳數據時造成的傳輸延遲。在支持設備到設備的蜂窩網絡中,用戶無需使用基站即可向鄰近地區的其他用戶傳輸數據,從而獲得無處不在的服務和應用。雖然設備到設備(D2D)用戶可以重復使用蜂窩用戶信道,但這會使D2D用戶受到跨層干擾。合理分配信道資源以減少用戶干擾是當前面臨的一個嚴峻問題。此外,用戶的位置并不固定,如何靈活選擇合適的協作者以保持整個系統的負載平衡也是一個重要問題。這也是D2D用戶需要研究的重要問題。
此外,無線連接的激增也造成了頻譜資源的短缺。非正交多址接入(NOMA)可以利用有限的資源區塊為更多用戶提供服務,具有支持大規模連接和提高系統容量的優勢,能更好地改善端到端服務質量。然而,大多數關于D2D和NOMA技術的研究都同時關注解決資源分配問題,而忽略了D2D配對問題,而且這些研究沒有充分考慮到存在多個D2D發射器(DT)同時向單個D2D接收器(DR)傳輸數據的情況。為解決上述問題,本文考慮了基于上行 NOMA的D2D蜂窩網絡,該網絡支持多個DT向單個DR傳輸數據,且多個D2D配對可重復使用同一上行信道。為了保證高質量的服務,我們的目標是最大限度地提高用戶數據傳輸速率。在保證用戶數據傳輸速率的前提下,合理的D2D配對和信道資源選擇是D2D服務成敗的關鍵,也是本文討論的重點。
主要內容:
本章考慮在蜂窩網絡基于兩層上行鏈路NOMA的D2D數據傳輸場景。用戶分為兩種類型:蜂窩用戶和D2D用戶。兩種用戶均勻分布在基站(Base Station, BS)周圍。場景如圖一。

圖一 場景模型圖
在本場景中,第一層為蜂窩用戶使用NOMA技術向BS傳輸數據。第二層為D2D用戶,具體又可以分為請求用戶和空閑用戶。每種用戶都對應一個移動設備。請求用戶重用分配給蜂窩用戶的信道,并使用NOMA傳輸協議向對應的空閑用戶傳輸數據。假設初始蜂窩用戶被隨機分配給一個信道。此外,被占用的信道可以被多個請求用戶重用。為方便區分,本文將請求用戶的設備稱為D2D發射器(D2D Transmitter, DT),空閑用戶的設備稱為D2D接收器(D2D Receiver, DR)。多個DT可以同時向一個DR傳輸數據,由一個DR和一個或多個DT組成的集合稱為 D2D組(D2D Group, DG)。本章假設每個請求用戶都是理性且自私的,只關心自己的利益。然而,由于空閑用戶和信道資源的有限性,每個請求用戶的選擇會對整個系統有較大的影響。本文的研究重點是在上述數據傳輸場景下進行最優用戶配對和信道決策,并設計相應的算法來實現最優解。為了便于研究分析,假設所有用戶設備均配置了單天線收發信號,處于半雙工模式并且均能應用理想的 SIC 技術。
通信模型:
(1)蜂窩用戶信道模型
根據上述描述,多個請求用戶可以與選擇k信道的原始蜂窩用戶來重用同一信道。蜂窩用戶在基站側的信干燥比(SINR)為:
![]()
其受到的干擾分為兩個部分,第一部分是來自同一信道上其他蜂窩用戶的干擾,其中部分干擾可以通過 SIC 消除;第二部分是來自復用信道資源的其他請求用戶,具體可以表示為:
![]()
![]()
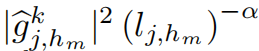
用戶與基站(BS)之間的信道增益可表示為:
![]()
并規定
。
(2)D2D用戶信道模型
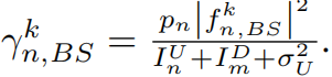
請求用戶在空閑用戶的信道干燥比(SINR)為:
![]()
其受到的干擾為:
![]()
![]()
![]()
信道增益為:
![]()
![]()
并規定![]()
b. 傳輸模型:
蜂窩用戶un選擇k信道的數據傳輸速率為:
![]()
![]()
請求用戶dm在k信道上選擇空閑用戶hm的數據傳輸速率為:
![]()
c. 問題建模:
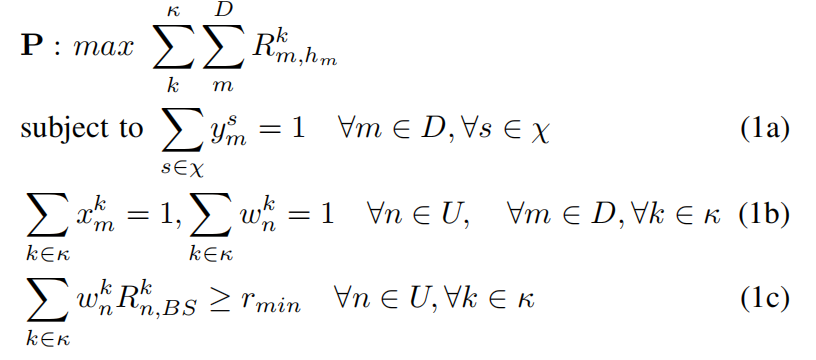
從系統的角度來看,本文的目標是通過選擇合適的D2D配對、信道來最大化整個網絡中所有用戶的傳輸速率,可表示為:

其中,條件(1a)表示每個D2D用戶只能選擇一個合作者進行連接,條件(1b)表示每個CU或每個D2D用戶只能選擇一個信道進行傳輸。約束條件 (1c) 限制了最小數據傳輸速率。
d. 解決方法:
針對此問題,我們提出了一個基于勢博弈的解決方法。我們將這一問題表述為一個 NOMA-多D2D用戶配對和信道選擇博弈Γ ={M, am, Bm}。通過進一步分析我們找到了勢函數,即可證得該博弈為嚴格勢博弈,也說明了該博弈存在納什均衡?;诖?,我們利用最佳響應機制可以求得每個用戶在已知其它用戶決策后的最佳決策,在此過程中每個用戶都可以獨立決定自己的策略,有效地降低了復雜性,提高了整體效率,具體算法如下。

實驗結果及分析:
參數分析
圖二顯示了CU數量和信道數量對用戶總傳輸速率的影響。

圖二 全部用戶總傳輸速率 vs. 信道數
圖三表明了算法的收斂性。

圖三 效用 vs. 迭代次數
對比實驗
圖四顯示了D2D用戶數量與全部用戶總傳輸速率的關系,也對比了五種算法的性能。

圖四 D2D用戶數量 vs. 全部用戶總傳輸速率
結論:
在這篇文章中,我們以總體傳輸速率最大化為目標構建了一個支持D2D的蜂窩網絡,并研究了基于NOMA技術的多D2D用戶配對和信道選擇策略的優化問題。因此,我們將該問題建模為多D2D用戶配對和信道選擇博弈,并證明我們的博弈是一個勢博弈,至少有一個納什均衡。我們通過模擬實驗將我們的算法與現有算法進行比較,證明了該算法的最優性。
第一作者簡介:
高煜洲,中國石油大學(北京)計算機科學與技術專業本科四年級學生,入選本碩一體化培養計劃,導師黃霽崴教授。研究興趣包括移動群智感知、邊緣計算、激勵機制設計和博弈論等。以第一作者發表SCI期刊論文2篇,主持本科生科研創新訓練計劃課題1項,獲得亞太地區數學建模競賽本科生組國家一等獎等總計國家級獎項4項、省部級獎項4項。
通訊作者簡介:
黃霽崴,教授,博士生導師,中國石油大學(北京)人工智能學院副院長,石油數據挖掘北京市重點實驗室主任。入選北京市優秀人才、北京市科技新星、北京市國家治理青年人才、昌聚工程青年人才、中國石油大學(北京)優秀青年學者。本科和博士畢業于清華大學計算機科學與技術系,美國佐治亞理工學院聯合培養博士生。研究方向包括:物聯網、服務計算、邊緣智能等。已主持國家自然科學基金、國家重點研發計劃、北京市自然科學基金等科研項目18項;以第一/通訊作者在國內外著名期刊和會議發表學術論文70余篇,其中1篇獲得中國科協優秀論文獎,2篇入選ESI熱點論文,5篇入選ESI高被引論文;出版學術專著1部;獲得國家發明專利6項、軟件著作權4項;獲得中國通信學會科學技術一等獎1項、中國產學研合作創新成果一等獎1項、廣東省計算機學會科學技術二等獎1項。擔任中國計算機學會(CCF)服務計算專委會委員,CCF和IEEE高級會員,電子學報、Chinese Journal of Electronics、Scientific Programming等期刊編委。