中文題目:一種用于多次波壓制的高效保幅頻變Radon變換方法
論文題目:An Efficient Amplitude-Preserving Radon Transform with frequency-Dependent Curvature for Multiple Attenuation
錄用期刊/會議:IEEE Transactions on Geoscience and Remote Sensing (JCR Q1)
原文DOI:10.1109/TGRS.2024.3357457
原文鏈接:https://ieeexplore.ieee.org/abstract/document/10411986
錄用/見刊時間:2024年1月22日
作者列表:
1)馮璐瑜 中國石油大學(北京) 信息科學與工程學院/人工智能學院 博20
2)薛亞茹 中國石油大學(北京) 信息科學與工程學院/人工智能學院 電子系教師
3)陳 沖 中國石油大學(北京) 信息科學與工程學院/人工智能學院 電子系教師
4)蘇軍利 中國石油大學(北京) 信息科學與工程學院/人工智能學院 研21
5)張 程 中國石油大學(北京) 信息科學與工程學院/人工智能學院 研21
摘要:
拋物Radon變換(PRT)是常用的多次波壓制方法之一。通常其曲率范圍和間隔按照最高頻率的采樣標準設置,導致低頻數據丟失,造成多次波估計不足。為此,本文基于FK譜推導曲率參數設置,得出曲率范圍和間隔應與頻率成反比。進一步為方便高精度濾波,在一次波和多次波混疊區域仍按照最高頻率標準設置采樣間隔, 由此提出具有頻變曲率范圍和采樣間隔的PRT(FDCR/CSI PRT)。和已有方法進行多次波壓制實驗對比,證明了該方法的可行性和有效性。
背景與動機:
地震波在地下多次反射后形成多次波,這些多次波降低地震資料信噪比,嚴重影響了地震資料的分辨率,因此多次波壓制是地震數據處理中的關鍵步驟。如今,地震勘探技術已向寬頻勘探技術發展,采集到的寬頻帶數據能夠顯著提高分辨率和成像質量,特別是低頻數據對深層地質解釋有著重要作用。所以,有必要關注多次波壓制中低頻段處理效果。
PRT是常用的多次波壓制方法之一,可以在頻域中高效實現。但其存在保幅性能不佳、多次波估計不足等問題,且頻率越低,該問題越嚴重。這是因為其曲率范圍和間隔通常按照最高頻率的采樣標準設置,未曾考慮曲率參數和數據頻率的關系。導致低頻段曲率范圍遠低于理論范圍、波數帶寬隨著頻率的降低而變窄,造成低頻振幅損失。因此,分析曲率參數設置以提升PRT的保幅效果具有重要意義。
設計與實現:
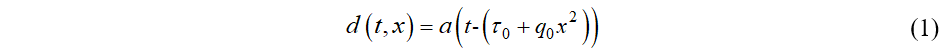
將地震數據用小波表示
![]()
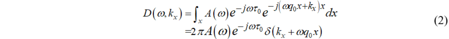
其FK譜為
![]()
故波數帶寬為
![]()
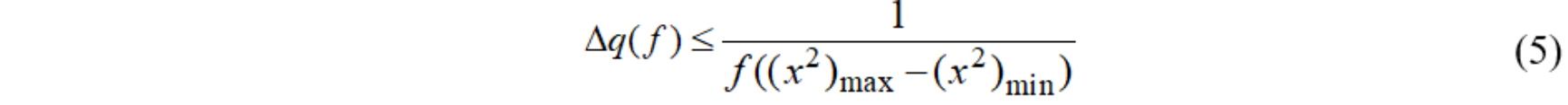
根據采樣定理,得到曲率范圍應滿足
![]()
同理,
![]()
即,曲率范圍和采樣間隔均應與頻率成反比,如圖1(a)點狀區域所示。
而常規PRT中,有

其采樣方式如圖1(a)紅色叉號所示。
根據式(3)計算并對比兩種采樣方法的波數帶寬。常規PRT中,頻率越低,波數范圍越窄,導致低頻信息丟失,如圖1(b)紅色矩形框所示;而頻變采樣的波數帶寬較大,能有效避免振幅損失。進一步將整個曲率空間分為三部分:僅一次波區域、一次波和多次波混疊區域和僅多次波區域,如圖2所示。在非混疊區域根據式(4)和式(5)設置曲率參數,在混疊區域仍按照最高頻采樣標準設置采樣間隔,以保證一次波和多次波的高精度區分和靈活濾波。

圖1 (a)常規曲率采樣和頻變曲率采樣;(b)波數帶寬

圖2 本文FDCR/CSI PRT采樣方式
實驗結果及分析:
用常規PRT,已有的保幅高階PRT和本文方法處理圖3中的數據。圖4(a)-(c)是第5個剖面的多次波估計結果。可見,常規PRT估計的多次波并不充分,導致圖4(d)中仍有大量多次波殘留;高階PRT和本文方法估計的多次波能量更強,因此圖4(e)和(f)中一次波更干凈。

圖3 原數據






圖4 (a)-(c)分別是常規PRT、高階PRT和提出方法估計的多次波;(d)-(f)為三種方法的多次波壓制結果。
圖5為從圖4 (a)-(c)中提取的低頻多次波。可見,本文方法估計的多次波振幅變化信息更豐富。為分析其原因,繪制原數據和三種方法估計多次波的FK譜如圖6所示。不難發現,本文方法掃描的波數范圍更大。說明增大曲率范圍允許更多波數成分被掃描,有助于多次波估計。



圖5 (a)-(c)分別為從圖4(a)-(c)提取的低頻數據




圖6 (a)原數據的FK譜;(b)-(d)分別是由常規PRT、高階PRT和提出方法估計多次波的FK譜
進一步將所有數據按照波到達時排序,如圖7(a)所示,可見其中含有大量的多次波。經常規PRT多次波壓制后,仍有多次波殘差,如圖7(b)所示。而高階PRT和提出方法得到的一次波較干凈,如圖7(c)和(d)所示。表1為計算時間對比,顯然,和具有保幅性的高階PRT相比,本文方法用時更少。這說明,本文方法在多次波壓制精度和效率方面都展現出了優勢。




圖7 (a)原數據。(b)-(d)分別是由常規PRT、高階PRT和提出方法得到的多次波壓制結果

結論:
常規PRT中通常忽略曲率與頻率的關系,造成振幅損失。本文基于FK譜推導了頻變曲率參數的保幅理論,提出FDCR/CSI PRT。和常規PRT相比,本文方法中曲率范圍更寬,促進振幅保護。和已有的保幅高階PRT相比,該方法計算成本更低。多次波壓制實驗證明了提出方法的效果。
通訊作者簡介:
薛亞茹,副教授,博士生導師/碩士生導師,UIUC大學訪問學者。主要從事地震信號處理、反演、人工智能等方面研究。