经典电视剧高清无广告播放网站 ,av免费网站_高清全集在线观看

您所在的位置:首頁 - 科學研究 - 科研動態

科研動態

基于自適應集員辨識和全驅模型的非線性系統自適應控制

文題目:基于自適應集員辨識和全驅模型的非線性系統自適應控制

論文題目Adaptive Control of Nonlinear Systems Based on Adaptive Set-membership Identification and Fully Actuated Modeling

錄用期刊/會議:China Control and Decision Conference(CCDC)(CAA A類會議)

作者列表

1)葉   勝 中國石油大學(北京)人工智能學院 控制工程專業 碩22級

2)王   珠 中國石油大學(北京)人工智能學院 自動化系教師

3)鄭佳旺 中國石油大學(北京)人工智能學院 控制科學與工程專業 碩23級

摘要:

本文針對具有近似單調非線性的動態過程,設計了一種可靠有效的自適應控制算法。一種簡化的Wiener模型被用來表示具有近似單調非線性的動態過程,這種Wiener模型是一種特殊類型的全驅動模型。此外,引入了一種基于未知但有界(UBB)噪聲的改進橢球集員辨識算法,以考慮與系統噪聲相關的不確定性。該算法自適應地估計噪聲界,克服了傳統集員辨識算法因高估噪聲界而導致的性能下降和辨識誤差。同時,基于改進的集員辨識,提出了一種新穎的非線性濾波器設計方法,旨在產生更精確的濾波輸出,以增強控制系統的適應性和跟蹤能力。基于非線性濾波的改進集員辨識算法的自適應控制實現了輸出的漸近跟蹤和全局穩定。

背景與動機:

大多數工業過程都表現出非線性特性,為了獲得更好的性能,已經提出了許多非線性建模結構。事實上,幾乎任何非線性系統都可以用具有任意高精度的維納模型來近似,而在假設系統噪聲的統計特性已知的情況下,維納模型的識別已經被廣泛研究。在工業非線性動態過程中,控制的目標是設計一個合適的控制器,使被控變量能夠精確地跟蹤預定的參考信號。在這種情況下,本文提出了基于自適應集員辨識和全驅模型的非線性系統自適應控制。

設計與實現:

非線性系統自適應控制包括改進的集員辨識算法,新的非線性濾波器和基于全驅模型的自適應控制。通過集員辨識可以獲得具有不確定性的系統模型。當參數解集合接近真實參數時,噪聲界限也收斂到其真實值。具有非線性濾波的改進集員辨識的自適應控制算法提供了更精確的濾波輸出和對參考軌跡的更好跟蹤。

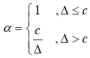
1.優化橢球廣義半徑集員算法

在集員辨識算法中,有一種獨特的數據選擇能力,參數在當前時刻是否更新取決于當前時刻的輸入輸出數據是否包含能進一步約簡可行集的信息。如果當前時刻的輸入輸出數據包含可以進一步約簡可行集的信息,則需要更新參數;相反,如果當前時刻的數據不包含可以進一步縮減可行集的信息,則不需要更新參數,并且算法不在這一點遞歸推進。該信息是最小化可行集的最優性標準。不同參數辨識算法的區別在于基于不同最優性準則求解的最優加權因子不同。不同因素的選擇影響最終可行解集的大小。最優權重因子的確定是通過參數的選取準則來完成的,其目的是用于更新橢球的廣義半徑可以通過對廣義半徑關于權重因子求導得到

image.png 

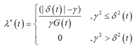
2.新型卡爾曼濾波器

在卡爾曼濾波方法中,方程大致分為兩類:時間更新方程和測量更新方程。時間更新方程對于推進當前狀態和誤差協方差的估計至關重要。這些方程有助于推導未來時間步驟的先驗估計。另一方面,測量更新方程用于將新的測量納入現有的先驗估計中,從而將這些估計細化為更精確的后驗估計。此外,在我們的研究框架內,這些方程(時間和測量更新)都適用于非線性濾波器。這種適應性使非線性濾波器能夠在嘈雜的條件下有效地充當狀態觀察器。根據自適應因子的設計,本文中自適應因子選擇為

image.png 

3.自適應控制

Wiener模型在一些特殊情況下具有全驅性,故全驅控制理論的方法可以用來處理Wiener模型,此時,響應分析和穩定性分析的問題不像狀態空間方法那樣必要,因為通過全驅方法設計的閉環系統是常數和線性的,或者具有常數和線性的主要部分(當增加不確定性時)。如果一個一般的離散時間系統可以等價地轉化為一個全驅模型,那么它就可以被定義為可控的。本文用未知參數的遞歸估計代替未知參數給出了下面的自適應控制

image.png 

實驗結果及分析:

為了測試所提出的自適應控制,考慮一個輸入非線性過程,即Hammerstein過程。該過程被設計成包含輸入的單調二次非線性和線性動態部分。參考信號如圖一所示

image.png 

圖1 參考信號

image.png 

圖2 零初始化下噪聲輸出的跟蹤性能

對于選用的輸入非線性過程,圖2描述了整體跟蹤性能,可以看出跟蹤誤差很小并且是有界的。這也說明了所提出的自適應控制的普遍性。

image.png 

圖3 估計噪聲界限

為了防止數據的冗余過長,如圖3所示,提取一部分噪聲邊界,從圖中可以看出,通過引入殘差序列和自適應估計噪聲界,當參數解集合接近真實參數時,噪聲界限也收斂到其真實值,確保了自適應噪聲界限算法的收斂。

結論:

提出了一種基于改進集員辨識的自適應控制方法,該方法通過一個非線性濾波器來減小噪聲對系統的影響。通過將維納模型與全驅系統方法相結合,來自全驅系統方法的自適應控制被證明對于維納模型是有效的,從而引入了控制這種模型的新方法。與傳統的辨識方法相比,基于自適應噪聲界的改進集員辨識算法利用了殘差序列和噪聲界的自適應估計。這種方法不僅使系統能夠更快地響應,而且增強了其魯棒性。在此基礎上,受輸出噪聲干擾下的卡爾曼濾波方程的啟發,將時間更新方程和測量更新方程推廣到非線性濾波器中,得到了基于改進集員辨識的非線性濾波器。基于具有非線性濾波的改進集員辨識的自適應控制算法提供了更精確的濾波輸出和對參考軌跡的更好跟蹤,并表現出更好的魯棒性。該方法可以在工程中得到實際應用,實現非線性系統的有效自適應控制。

作者簡介:

王珠,男,博士,中共黨員,現任中國石油大學(北京)副教授、碩士生導師。2016年至今在中國石油大學(北京)自動化系工作,現任中國自動化學會人工智能技術與工業應用專業委員會委員、中國化工學會信息技術應用專業委員會青年委員、北京人工智能學會理事。

在科研與社會服務方面,研究興趣為系統辨識與智能控制、煉化過程動態異常診斷與故障預警、大數據質量預測與綜合優化。近年來,主持重點流程工業企業的智能報警項目數項以及國家自然科學基金,已發表高水平學術論文30余篇。