中文題目:序列測量下量子內在隨機性的量化
論文題目:Quantifying the intrinsic randomness in sequential measurements
錄用期刊/會議:New Journal of Physics (中科院大類二區,JCR Q2)
原文DOI:10.1088/1367-2630/ad19fe
原文鏈接: https://iopscience.iop.org/article/10.1088/1367-2630/ad19fe
作者列表:
1) 劉新建 中國石油大學(北京)人工智能學院 計算機科學與技術 碩21
2)王玉坤 中國石油大學(北京)人工智能學院 計算機科學與技術系 教師
3)韓云光 南京航空航天大學 計算機科學與技術學院 副研究員
4)武 霞 中央財經大學信息學院 副教授
文章簡介:
序列測量場景中的量子測量通常涉及半正定算子測量,由POVM定義的一般測量比投影測量在設備無關隨機性認證時更具有優勢。與投影測量不同,在用于POVM的量子設備中存在額外和隱藏自由度,量化其中的隨機性是具有挑戰的。此外,在實際設備中由于環境和噪聲的影響會引入經典的隨機性,刻畫其中的隨機性也需要考慮如何去除經典隨機性的影響。給定一組POVM可能有無限多種方法來構造檢測設備,這種隱藏的信息會泄漏給不可信第三方Eve,所以在刻畫POVM量子設備的隨機性時需要考慮這種隱藏信息的影響。在序列測量下刻畫隨機性時,除了考慮上述因素,還需要考慮序列方輪與輪之間的關聯造成的影響。雖然在理論上可以在序列測量下從一對糾纏的量子源獲得無界的隨機比特位,但是從一對糾纏的量子源中可以魯棒地產生多少隨機性還有待研究。本文對序列測量方案中產生的量子內在隨機性進行了嚴格定義,并在設備不同可信程度下量化了序列測量方案中三維最大糾纏態和最大違背態產生的量子內在隨機性。
摘要:
在標準貝爾場景中,當對量子系統進行局部投影測量時產生隨機性的數量是有限的,通過對其系統進行序列測量可以被打破這一限制。然而,除了在設備無關場景中使用半正定規劃方法量化隨機性外,在序列測量方案中還未建立嚴格的隨機數定義。本文定義了序列測量中的量子隨機性,并量化了CGLMP不等式序列場景下的隨機性。首先,我們研究了序列投影測量下混合態的量子內在隨機性,以及純態下序列POVM下的內在隨機性。結合以上推導,自然地,我們嚴格定義了任意量子態下序列POVM的量子內在隨機性。此外,我們將我們的方法應用于一個Alice和兩個Bob序列測量場景,在設備可信方案下通過給出的極值分解形式量化了最大糾纏態和最大違背態的量子內在隨機性。在設備無關方案下,量子態和測量都可能包含噪聲,使用序列NPA層次結構方法得到了可驗證隨機數的下界。
設計與實現:
本文主要考慮了單邊序列測量下隨機性的定義,該模型已被廣泛提出并用于研究序列測量之間的非局域共享。我們根據監聽者Eve和量子設備之間不同關聯程度,推導得到了監聽者Eve的經典最大猜測概率和量子最大猜測概率,然后使用條件最小熵刻畫其中的隨機性。首先在序列測量方案下建立了量子內在隨機性的定義,包括不可信量子態、不可信序列POVM以及不可信量子態和測量場景。然后,利用本文對序列測量隨機性的定義以及序列NPA半正定規劃方法,量化了三維最大糾纏態和最大違背態在設備可信和不可信場景中產生的內在隨機性。此外本文對隨機性的定義不限于每一個Bob是獨立的,還可以擴展到允許經典信號傳輸的場景。

單邊序列測量場景
1.不可信量子態隨機性的定義
Eve可能通過隨機變量與量子系統產生經典相關性。具體來說,Eve可以抽樣大量隨機變量
的值,并使用這些信息來預測量子系統的測量結果。
經典最大猜測概率

監聽者還可以通過純化與量子系統產生量子相關性,Eve在已知量子側信息的情況下預測量子系統的測量結果。
量子最大猜測概率

2.不可信序列POVM隨機性定義
經典最大猜測概率
POVM集合和量子態集合一樣,也是一個凸集。所以Eve也可以通過隨機變量與量子系統產生經典相關性。
![]()
量子最大猜測概率
本文通過Naimark擴展,主系統的一般POVM測量可以被視為由主系統和輔助系統
組成的復合系統的投影測量,定義了監聽者Eve的量子最大猜測概率。


3.不可信量子態和測量隨機性定義
結合以上推導,考慮最一般的場景即量子態和測量都不可信
經典最大猜測概率

量子最大猜測概率

實驗結果及分析:
1.設備可信方案下內在隨機性的量化

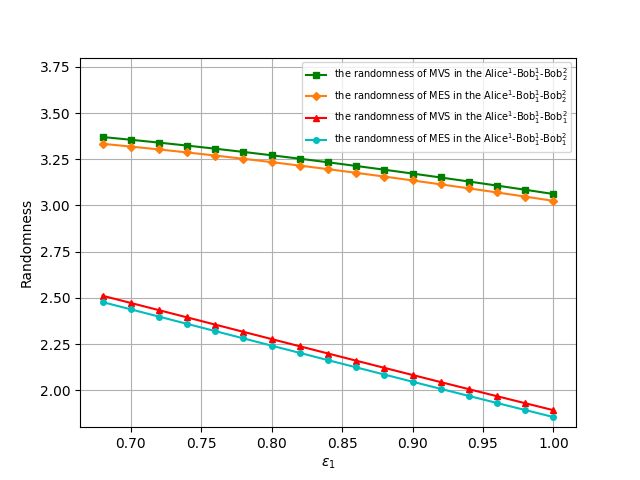
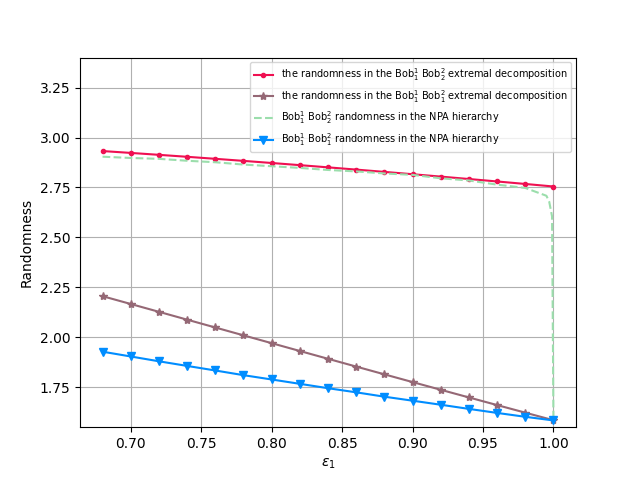
圖中展示了最大違背態與最大糾纏態之間全局內在隨機性的比較。從圖中可以看出,隨著Bob方弱測量系數的增大,越接近投影測量時產生的隨機性越小。結果表明,在序列CGLMP測量場景中,與最大糾纏態相比,最大違背態展示出了更大的隨機性。
2.設備無關方案下內在隨機性的量化
在設備可信方案中,我們利用上述隨機性的定義以及給出的特殊POVM分解形式量化了最大糾纏態和最大違背態的隨機性,在設備無關方案中,使用半正定規劃方法序列NPA層級約束量化了其中的隨機性。
此外我們還分別比較了不同測量基下的隨機性。從下圖中可以看出在設備可信方案下
和
選擇不同的測量基展現的隨機性更大。在設備無關方案中,也會出現類似的結果。

最大糾纏態在設備不同可信程度下產生的隨機性

最大違背態在設備不同可信程度下產生的隨機性
結論:
本文嚴格定義了序列測量下量子系統產生的內在隨機性。為了實現這一目標,本文基于竊聽者Eve與量子系統之間的不同關聯程度,推導了Eve的經典最大猜測概率和量子最大猜測概率。此外,在設備的不同可信程度下,量化了CGLMP序列測量場景下的量子內在隨機性。在可信量子系統場景中,量子態是純態、最大糾纏態或最大違背態,并且只有測量含有噪聲,在這種情況下,Eve的量子最大猜測概率和經典最大猜測概率相同,因此只需考慮POVM極值分解來最大化猜測概率。對于CGLMP場景下的POVM,本文提供了一種特殊的分解形式,并計算了這種分解結果的隨機性。這種特殊的分解提供了隨機性的上限估計。原則上,應該遍歷POVM的所有極值分解來量化隨機性。然而,提供所有分解形式尤其是對于高維POVM來說是具有挑戰性的。在未來的研究中,將進一步探索高維POVM極值分解方法,以獲得更準確的結果。在設備無關方案中,量子態和測量都是不可信的,我們使用順序NPA層次結構方法來量化高維系統中最大糾纏態和最大違背態可驗證的隨機性的下界。
作者簡介:
王玉坤,女,博士,人工智能學院計算機系助理教授。研究方向為量子計算,量子密碼及量子信息基本理論,主要包括:量子機器學習,經典困難問題量子算法加速,量子線路優化與映射,量子密碼協議設計及安全性證明,設備不可信量子信息處理等。主持國家自然基金青年基金,密碼管理局密碼科技國家重點實驗室面上項目,校人才啟動基金,在國內外著名期刊和會議發表SCI檢索的學術論文30余篇。擔任多個國際頂級期刊審稿人。