中文題目:鹽的激光感生電壓信號在納秒脈沖激光檢測中的應用
論文題目:Laser-induced voltage of table salt for deep ultraviolet pulsed laser detection
錄用期刊/會議:2023 China Automation Congress (EI)
原文DOI:10.1109/CAC59555.2023.10450599
錄用/見刊時間:2024-04-19
作者列表:
1) 劉學聰 中國石油大學(北京)人工智能學院 控制科學與工程專業 博22
2) 王麗君 中國石油大學(北京)新能源與材料學院材料科學與工程專業 碩21
4) 趙 昆 中國石油大學(北京)新能源與材料學院材料科學與工程系教師
5) 苗昕揚 中國石油大學(北京)新能源與材料學院材料科學與工程系教師
6) 詹洪磊 中國石油大學(北京)新能源與材料學院材料科學與工程系教師
摘要:
本文提出了一種檢測納秒(ns)脈沖激光能量的方法。偏置電壓(Vb)和激光能量(Ein)對食鹽的激光感生電壓(LIV)信號幅值(Vp)影響較大,Vp隨Vb和Ein的增大而增大,信號響應時間約為150μs。受阻抗效應的影響,LIV信號的響應速度和峰值Vp隨著負載(R)的減小而增大。當R=100 Ω時,LIV的響應時間與納秒脈沖激光相似(?20 ns),完全受激光脈沖持續時間的限制。該研究表明,食鹽的LIV響應具有實時超快單脈沖激光檢測的潛力。
背景與動機:
隨著納秒脈沖激光器應用的普及,單脈沖激光能量的實時、精確測量成為了有待解決的技術難題。當具有高能量通量的納秒脈沖激光照射到樣品上時,樣品表面會形成等離子體羽流,它們是微加工、元素分析、鉆孔等工程應用中的主要研究對象。然而,這些等離子體受多種因素的影響(例如靶材特性、單脈沖能量、波長、輻照頻率等等)。因此,如何測量快速單脈沖激光信號能量,提取、捕獲相關信息就更為關鍵和具有挑戰性。其中,激光誘導等離子體(LIP)在攜帶樣品信息的同時還可以作為信號源,被外接電路捕獲,生成激光感生電壓(LIV)信號。而食鹽因為具有價格低、獲取方便、在可見光譜透明等特點,我們選用食鹽為脈沖激光的檢測材料,進行單脈沖能量的檢測和分析。
實驗結果及分析:
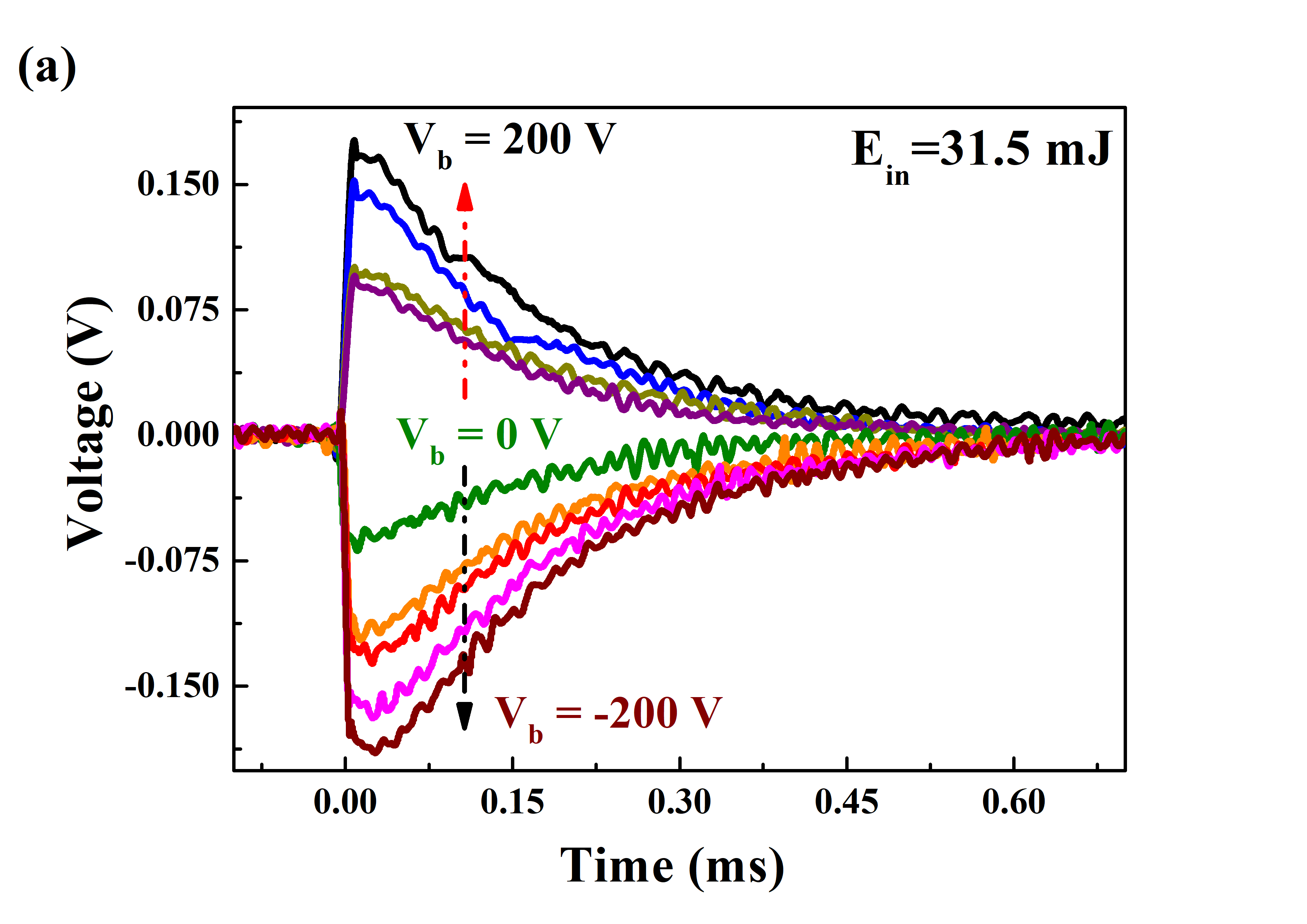
圖1為激光輻照在樣品上產生的LIV響應信號,隨著偏置電壓Vb和入射激光能量Ein的增加,信號的峰值(Vp)也會隨著電極接收到等離子數目的增加而增大。

圖1 (a)LIV響應信號;(b)Vp隨Vb和Ein的函數關系
圖2顯示了LIV隨外接負載R的變化情況,受檢測電路阻抗的影響,信號的半高寬(FWHM)和峰值Vp均與R呈正相關。

圖2(a)LIV信號隨負載的變化;(b)半高寬和峰與負載R之間的關系
當R=100Ω時,如圖3所示,受脈沖脈寬時長的限制,響應信號的半高寬一直維持在20 ns左右,Vp隨Vb的增加而增加。
圖3 負載為100Ω時,FWHM和Vp隨Vb的變化函數
圖4顯示了LIV的信號隨Ein的變化呈單調的正相關關系,單位偏壓下的探測響應度為1.93 × 106 m1/2·J-3/2,且監測到的LIV波形與脈沖激光的波形結構類似。
圖4 負載為100Ω時,LIV信號和Vp與Ein的變化
結論:
本研究基于食鹽的LIV響應特征設計了測量超快單脈沖紫外激光器的實驗系統。通過調節負載R的阻值,實現脈沖激光波形和能量的實時檢測。LIV 響應峰值Vp受Vb,Ein和R的影響。隨著R的降低,LIV的響應速度增加。在R=100 Ω,食鹽檢測到的LIV信號響應時間~20 ns,這近似于光源的脈沖寬度。該項工作為簡單、低成本的ns脈沖激光實時表征提供了新的見解。
作者簡介:
劉學聰,博士研究生,研究方向為油氣光學探測技術。在Chemical Engineeeing Journal、IEEE Sens J、IEEE Trans Instrum Meas等期刊發表論文19篇,其中第一作者SCI論文9篇。獲第十三屆王濤英才獎學金、2024年中國儀器儀表學會二等獎學金、2023年中國儀器儀表學會學術年會優秀學術成果等獎項。
通訊作者簡介:
趙昆,教授,博士生導師,研究方向為油氣光學探測技術與智能制造。