論文題目:Design and Analysis on an Optimized Interface Algorithm for Real-Time Integrated Simulation System of Renewable Energy and the Power Grid
發表期刊:Energies(JCR Q3)
原文DOI:10.3390/en13174380
作者列表:
1) 孟巖峰 中國科學院電工研究所
2) 吉 莉 中國石油大學(北京) 信息科學與工程學院
3) 胡書舉 中國科學院電工研究所
4) 許洪華 中國科學院電工研究所
隨著以風電為代表的強波動性可再生能源的大規模并網,電網的安全可靠運行將越來越依賴于可再生能源并網前的運行模擬測試技術。傳統的并網測試技術僅可模擬電網特定故障,無法模擬電網的實時特性及電網與被測設備的交互特性,嚴重影響了可再生能源并網可靠性測試的準確性。本文基于功率型硬件在環技術,提出了一種基于輔助DIM接口電流反饋的新型接口算法,構成數字物理閉環仿真系統,可以有效提高可再生能源并網模擬的準確性,同時增強系統的穩定性。
面向可再生能源并網模擬的實時性應用需求,仿真系統接口算法的目標包括:電網模擬系統目標電壓波形要精確,可以復現實際電網特性,且反饋到大電網運算模型的電流信號誤差要盡可能小,既能體現風電機組對電網的影響,同時還要保證接口算法具有數十兆瓦的功率等級水平下帶載能力。本文提出的基于輔助DIM電流反饋的新型接口算法原理如圖1所示。

圖1 基于輔助DIM電流反饋的新型接口算法原理圖
1)所提接口算法的時序控制模式
在tn時刻在數字仿真側和物理側同時進行模型運算和數據采樣轉換,并行執行后向信號反饋和前向電壓激勵以等步驟完成系統仿真運行控制,如圖2所示。

圖2 所提出的新型接口算法的時序控制圖
相比常用接口算法,應用新型接口算法,模型運算耗時有所增加,但是通過引入輔助DIM接口反饋信號使得數字側主模型運算結果準確度提升,模型運算誤差不會累積,而輔助模型運算增加耗時可通過提升硬件性能得到解決。
2)新型接口算法的準確性分析
對于實時電網模擬系統而言,首要考察數字仿真子系統輸出指令信號即端口電壓
的準確性,其次是物理子系統輸出電流的準確性。可推導得:
(1)
(2)
(3)
從上式可知,采用本文所提的新型接口算法,實時電網模擬系統數字側指令電壓信號
不受接口延時影響,誤差不會累積,僅與等效電源與阻抗相關,數字側誤差不累積的特性也使得系統運行穩定性有效提升,同時在物理側,具有較強的帶載能力。
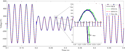
3)應用所提接口算法的工況模擬驗證
應用所提接口算法對實際電網的工況進行模擬驗證,仿真結果如圖3與如圖4所示,數字側電壓模擬準確性提高97%,物理側準確性提高26%,畸變小,帶載能力強。

圖3 應用所提算法的數字側電壓圖

圖4 應用所提算法的物理側電流圖
吉莉,博士,副教授,碩士研究生導師。長期致力于能源與信息、能源與交通的交叉融合研究工作,主持1項國家自然科學基金項目和1項國家863課題,作為技術負責人主持多項國家863項目、國家科技支撐項目。科技部國家第六次技術預測工作能源領域總體組專家,《IET Renewable Power Generation》、《CSEE JPES》等期刊的Guest Editor,中國電工技術學會無線電能傳輸專委會委員。以第一作者/通信作者在《IEEE Transactions on industrial electronics》、《電力系統自動化》等期刊上發表SCI/EI期刊論文30余篇,第一作者獲授權/受理發明專利/軟件著作權10余項。編寫中文著作3部。聯系方式:huanxir@126.com