中文題目:雙向儲能逆變器的并網與離網控制策略研究
論文題目:Research on Grid-Connected and Off-Grid Control Strategy for Bidirectional Energy Storage Inverter
錄用期刊/會議:Electronics(中科院大類3區)
原文DOI:10.3390/electronics13244911
原文鏈接:https://webofscience.clarivate.cn/wos/alldb/full-record/WOS:001386773600001
錄用/見刊時間:2024.12.12
作者列表:
1)巨亞峰 中國石油大學(北京)石油工程學院 中國石油長慶油田公司油氣工藝研究院
2)張 輝 中國石油大學(北京)石油工程學院
3)曹旭東 中國石油大學(北京)人工智能學院 電子信息工程系教師(通信作者)
4)張若谷 中國石油大學(北京)人工智能學院 新一代電子信息技術(含量子技術等)專業碩士23級
5)吉 莉 中國石油大學(北京)人工智能學院 電子信息工程系教師
6)魏學良 中國石油大學(北京)人工智能學院 電子信息工程系教師
7)劉延青 中國石油長慶油田公司油氣工藝研究院
摘要:
雙向儲能逆變器是連接微電網中分布式能源與外部大電網的關鍵設備。由于雙向儲能逆變器在并網和孤島模式轉換過程中會產生擾動影響,本文提出一種基于下垂控制的平滑切換策略以減輕此類影響。
首先,本文介紹了感性線路阻抗條件下的下垂控制原理,詳細闡述了相關組成部分以及本研究采用的控制環節的設計思路和參數選擇。在從并網模式向孤島模式轉換過程中,引入了一種改進的帶正反饋的主動頻率偏移(AFDPF)方法。該方法在傳統 AFDPF 方法的基礎上,通過引入正反饋系數和分段函數對斬波系數進行優化,并提出了以頻率差的立方根作為跟蹤步長,從而在保證系統諧波質量的同時提高了孤島檢測效率。
相反,在從孤島模式向并網模式轉換過程中,本文提出了一種基于下垂控制的復合預同步控制策略,該策略能夠使雙向儲能逆變器輸出電壓的相位、幅值和頻率精確跟蹤電網電壓。
最后,利用 MATLAB/Simulink(美國 MathWorks 公司,R2022b 版本)搭建了仿真模型,并搭建了基于 TMS320F28378DPTPS 控制器的實驗平臺進行驗證。結果表明,所提出的切換策略具有良好的穩定性,能夠實現并網和孤島模式之間的平滑過渡,性能優于傳統控制策略。
背景與動機:
雙向儲能逆變器的應用對于增強交直流(AC/DC)混合網絡化微電網中的電能交換至關重要。但雙向儲能逆變器在并網和離網模式之間切換時會產生沖擊效應,影響負載用電安全。因此,研究雙向儲能逆變器并網與離網模式的切換策略,對微電網的穩定運行起著至關重要的作用。雙向儲能逆變器的切換策略可分解為兩項關鍵技術:孤島檢測方法和預同步控制策略。對于這兩項技術,實施后都對系統穩定性和電能質量有一定要求。本文以雙向儲能逆變器為研究對象,闡明其下垂控制方法的控制原理。在解決雙向儲能逆變器的切換控制策略問題時,提出了一種改進的帶正反饋的孤島檢測方法和一種復合預同步控制方法。詳細闡述了這些切換策略的實施過程和原理。
主要內容:
針對傳統主動頻率偏移(AFD)方法存在的問題,提出了一種改進的帶正反饋的主動頻率偏移檢測方法(AFDPF),提高孤島檢測效率和降低輸出電流的THD。該方法的原理如圖 1所示。

圖1改進的帶正反饋的主動頻率偏移檢測方法原理圖
通過分析,所提出的改進的帶正反饋主動頻率偏移方法的流程圖如圖 2 所示:
圖2改進的帶正反饋的主動頻率偏移檢測方法檢測流程
為了彌補傳統預同步控制在相位同步精度較低方面的不足,本文提出了一種基于下垂控制的雙向儲能逆變器復合預同步控制策略,這種控制策略的原理如圖3所示。
圖3基于下垂控制的雙向儲能逆變器復合預同步控制策略檢測框圖
實驗結果及分析:
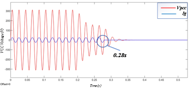
仿真結果分析:基于下垂控制的雙向儲能逆變器并網穩態運行,0.2s 發生孤島事件后系統迅速切換至離網模式,圖 4顯示傳統 AFD 方法在孤島發生 0.12s 后檢測到事件,帶正反饋的 AFDPF 方法 0.08s 后完成檢測,檢測速度較傳統方法提高 50%。圖 5 顯示斷開操作使并網到孤島模式平穩過渡無顯著干擾,傳統 AFD 方法下頻率在 0.32s 超出 49.5 - 50.5Hz 閾值,帶正反饋的 AFDPF 方法則在 0.28s 超出。圖 6顯示傳統 AFD 方法電流 THD 為 6.03%,帶正反饋的 AFDPF 方法為 4.80%,改進方法對微電網諧波污染更小。

圖4 孤島檢測波形


圖5 PCC電壓頻率波形


圖6 電流的THD值
微電網在 t = 0到 0.6s 以孤島模式穩定運行,t = 0.2s 雙向儲能逆變器啟動預同步調整,完成后從離網轉并網,圖 7 顯示預同步控制使電流切換平穩,實現無縫過渡。

圖7 從離網模式切換到并網模式過程中的電壓和電流波形
實驗結果分析:
通過圖8所示的實驗系統配置:

圖8 系統配置及電氣原理圖
得到了圖9和圖10所示的并離網轉換的實驗結果圖,均能驗證所提方法的可行性。
圖9 從并網模式過渡到離網模式的實驗結果

圖10從離網模式過渡到并網模式的實驗結果
結論:
在從并網到離網的無縫過渡過程中,無論是計劃內還是計劃外的孤島模式轉換,采用帶有正反饋機制的增強型主動頻率偏移檢測技術,都能顯著縮短孤島檢測時間,降低雙向儲能逆變器輸出電流的總諧波失真(THD),從而大幅減輕對電網電能質量的不利影響。這種先進方法能夠根據負載阻抗的固有特性(無論是感性還是容性)進行動態調整,進而提升性能。
相反,在從離網到并網的反向過渡過程中,基于下垂控制原理的精細預同步控制策略,確保了從孤島模式平穩、無縫地回歸到并網模式。這些經過優化的控制方法的應用,有助于在并網和離網模式之間實現穩健且不間斷的切換,從而保障了電力電子系統中雙向儲能逆變器的穩定可靠運行。
通信作者簡介:
曹旭東,副教授,碩導,中國計算機自動測量與控制技術協會會員。主要從事DSP、FPGA、ARM等嵌入式微處理器系統設計、物聯網云服務平臺架構設計,石油測井儀器微弱信號采集及井下通信技術研究與實現。完成了國家重大專項、中國石油集團公司以及油田企業的縱橫向項目20多項。主要科研項目:智能監測、物聯網、云平臺類項目:基于IPv6的自動化前端設備在高寒地區應用的研究(國家發改委項目);警用摩托車智能監測系統;智能燃氣管網監測系統設計;石油測井儀器研制開發項目:過套管電阻率測井儀系統設計及數據校正解釋軟件研發;雙三維地球物理模型定位采集系統設計(國家重點實驗室項目);井地電位成像系統研制;地震物理模擬方法研究項目:多波地震勘探及裂縫儲層預測技術、地震物理模型可控震源研制、物探新方法新技術研究。發表論文四十余篇, 編寫《單片機原理及應用》和《DSP芯片原理及應用系統設計》教材2部。獲得中國石油大學校級教學成果一等獎2次,二等獎多次。指導大學生獲北京市電子設計競賽一等獎,北京市大學生電子設計競賽優秀指導教師。聯系方式:caoxudong@cup.edu.cn