論文原標題:Full cycle dynamic optimisation maintaining the operation margin of acetylene hydrogenation fixed-bed reactor
作者:謝府命(自動化系博15級);許鋒;梁志珊;羅雄麟
發表期刊:Journal of the Taiwan Institute of Chemical Engineers
錄用時間:2020.1.18
原文鏈接:https://doi.org/10.1016/j.jtice.2020.01.008
乙炔加氫反應器是乙烯工業中的重要環節,其運行很大程度上影響乙烯產品的產量和純度。乙炔加氫反應器中催化劑活性具有慢時變特性,它會隨著時間的推移緩慢的發生變化,使得在一個運行周期內乙烯裝置的性能持續緩慢下降,最后必須要停止運行,進行催化再生。本文使用了一種更為嚴格的乙炔加氫反應器慢時變催化劑失活模型。在失活模型中,采用控制向量參數化的方法實現了以在一定的再生周期中最大整體經濟效益或最長再生周期為目標的長時間尺度的動態優化(運行周期幾個月甚至一年)。然而,這樣的優化在實際生產中難以被廣泛應用,其原因是該優化模型并未考慮到控制器和不確定擾動的影響,優化難以達到預期的效果。為了在滿足實際運行的需求的基礎上,實現最優的生產目標,本文設計了裕量估計模型,在線估計一個再生周期的操作裕量消耗。進一步地,在保證安全的操作裕量的前提下,提出了一種長時間尺度的動態優化方案,從而在保證足夠可靠的運行空間的前提下,獲得最大的整體經濟效益或最長的再生周期的長周期運行優化方案。
慢時變系統是一種系統中的參數會隨時間推移緩慢變化從而使得系統緩慢發生改變的時變系統。慢時變系統與普通時變系統的不同之處在于,它的時變相對于系統的動態響應而言十分緩慢,在研究系統的局部的短期的動態特性時可以忽略它的影響。但是,它在系統長時間運行中會對系統產生無法忽視的影響,在處理長周期的整體問題時要考慮它對系統的作用。慢時變特性常表現在長時間運行的化工過程中,如固定床反應器的催化劑失活、換熱器的結垢老化,催化劑活性和結垢熱阻均為慢時變參數,化工裝置的一個運行周期內慢時變參數的緩慢變化造成化工裝置的性能逐漸下降。為此,過程設計時需要對設計變量留出足夠的裕量,使操作點與過程約束之間存在足夠的距離。在一個運行周期內通過操作逐漸釋放設計裕量,補償慢時變參數的不利影響。
由于過程的不確定性,在設計階段,常在設計變量中加入的一定的富余量,這部分我們稱之為設計裕量。設計裕量由工藝裕量和控制裕量兩部分組成。工藝裕量是為了補償慢時變參數變化的影響而設計的,控制裕量是為了滿足操作和控制的需要而設計的。在化工過程的設計階段,必須為設計變量添加足夠的裕量,使工作點與工藝約束之間有足夠的距離,以防止不確定性“變壞”后過程變量超出工藝約束。但設計裕量通常是根據各種不確定性的最壞影響來確定的,而慢時變參數從初始狀態到“最壞”的變化是一個緩慢的動態過程,因此裕量消耗是一個受慢時變不確定因素和不可測干擾影響的長期動態過程。如圖4.1所示,隨著時間的推移,所需的過程裕量會逐漸增大,控制裕量在一定范圍內波動,剩余裕量逐漸減少至0,在整個周期的最后,工藝裕量和控制裕量之和等于設計裕量。

圖1 全周期內的裕量消耗
Fig. 1 Margin consumption of full cycle.
為了保證慢時變系統和快時變系統同時運行,我們提出了雙層的集成控制優化框架。慢時變系統的時間變量
,時間單位為day。為了獲得關于時間
的催化劑活性,考慮到系統中有兩個時間尺度,分別是長時間尺度變量
和短時間尺度變量t,應分別對催化劑失活的反應速率進行積分,如式(1)所示。
(1)
但考慮到計算的復雜性,忽略單日內綠油累積造成的失活影響(實際影響很微小),將式(1)簡化為式(2)。
(2)
快時變系統接收優化后的操作變量u,并通過控制器保持反應器的穩定運行。相應地,當控制器在穩態下運行快時變系統時,控制器將
所表示的穩態變量上傳到慢時變系統中。此外,涉及到裕量部分時,快時變系統的狀態變量通過在線的裕量估計器,估計出相應的控制裕量和工藝裕量,再由優化器得到保證一定操作裕量的最優的優化變量。總體結構如圖1所示。

圖1 慢時變系統的結構圖
Fig. 1 Structure of slowly-time-varying system
為了簡化動態優化的計算,還需要將乙炔加氫反應器的分布式參數系統轉化為等效的集總系統。本文采用空間離散化的方法,將徑向和軸向離散化,分別用
表示的徑向和軸向區間數,如式(3)所示,從而得到更易于求解的動態優化模型。
(3)
此外,定義
為催化劑再生周期,快時變系統中的動態和穩態變量
表示為
(4)
控制向量參數化(CVP)是一種典型的動態優化的數值解法,它將整個過程的時間劃分為若干個時間區間。現將再生周期劃按CVP方法劃分為若干個時間區間,如式(5)所示。
(5)
N是時間間隔數,決定了CVP方法的參數化程度。離散優化變量如式(6)所示。
(6)
表示
在區間
的軌跡,其值在區間內為一常值。快時變系統,包含機理模型和控制系統模型的方程表示為h(?),如式(7)所示
(7)
通過CVP,將優化變量轉換為一組參數。也就是說,將原來的動態優化問題轉化為穩態優化問題,即靜態的非線性規劃(NLP)問題。靜態優化是對原動態優化問題的近似,當N趨于無窮大時,兩者的結果是相等的,但N的增大會導致計算量的增加。
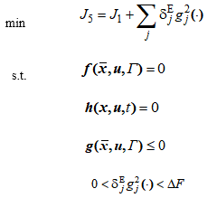
接下來,我們可以構造一個描述操作點與約束邊界之間距離的函數,定義為裕量消耗函數。基于乙炔加氫反應器經濟效益的目標函數J1,引入裕量消耗函數,得到考慮裕量消耗的動態優化模型如下:

為裕量轉換因子;
為裕量消耗函數。根據控制裕量在線的優化結果,我們可以在線估計出第
天的控制裕量和工藝裕量,進而可以求得控制裕量和工藝裕量影響所造成的經濟效益下降量,兩者之和等價于第
天的經濟效益最小損耗,再代入模型中求解動態優化問題,就可以求得全周期的裕量緩釋操作優化。
許鋒副教授,博士,科研工作涉及控制理論及應用、生產過程的先進控制與優化、化工過程的流程模擬與分析、過程控制與工藝設計一體化研究等,長期從事煉油化工過程軟測量與先進控制、流程模擬與實時優化等技術開發與工程應用工作中國石油大學(北京)副教授、碩士生導師、北京自動化學會理事。