中文題目:多優先級評估下的修井作業調度優化
論文題目:Workover Rig Routing Scheduling With Multi-Priority Evaluation
錄用期刊/會議: 第 35 屆中國過程控制會議
錄用/見刊時間:2024年07月25日
作者列表:
1)袁 宇 中國石油大學(北京)人工智能學院 自動化系 碩22
2)高小永 中國石油大學(北京)人工智能學院 自動化系 教師
3)檀朝東 中國石油大學(北京)人工智能學院 自動化系 教師
文章簡介:
本文針對油氣生產領域投產后的維修工作計劃為便于算法間的性能比較,多考慮簡化約束等問題,建立多優先級評估下的修井作業調度優化模型,最小化待修井的石油產量損失,準確規劃修井機作業路線及調整修井作業的起始時間。
摘要:
在大型油氣田實際生產過程中,隨生產周期的推進會相繼出現各類修井需求,其分布在不同的油氣井且每口井的修井需求優先級與需求等級也各有差異。為保障油氣田平穩安全生產、減少成本、提高效益,針對修井機的資源配置制定一套合理的作業調度方案變得至關重要。本研究分析油氣田生產過程中修井作業及修井機的特征,針對油氣田提出一種多優先級評估下的修井作業調度優化模型,并采用Gurobi進行編程求解。
背景與動機:
執行修井作業時,關井會造成油氣田的產量損失,進而降低經濟效益。同時為控制生產開銷,企業配備的修井機數量不足以同時滿足全部修井需求。現有的維修工作計劃為便于不同算法間的性能比較,所構建的數學模型多考慮簡化約束,忽略了多樣化場景與服務優先級等約束的影響。在此背景下,對修井作業建立合理的模型調度,實現成本最小化的同時完成井場維護作業顯得尤為重要。
設計與實現:
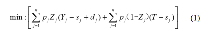
目標函數設置為最小化該油田的總的生產損失:
模型部分約束式如下:
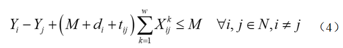
1)網絡弧約束
2)時間軸約束
3)優先級約束
實驗結果及分析:
1.仿真結果與比較
案列包括4臺修井機和20個待修井。給定實驗案例的總調度周期為300進行優化,優化生產損失為11971萬元,相應的路徑調度圖與甘特圖分別如下圖。

圖1 路徑規劃調度圖 圖2 調度結果甘特圖
為驗證優先級評估對調度方案產生的影響,將與待修井服務需求優先級約束注釋仿真,相應的路徑調度圖與甘特圖如下。

圖3 路徑規劃調度圖 圖4 調度結果甘特圖
結合兩次結果分析,為滿足服務需求優先級作業,會造成相應的總調度周期內分配作業量減少與生產成本增加。
2.仿真方法對比
選用BPC、ALNS算法進行不同規模下案例的對比。對服務需求優先級約束用懲罰函數編譯求解。求解結果如下。
表4 求解方案的目標函數值對比

表5 求解方案的求解時間對比

在小規模案列下,算法均能達到最優性能得到問題最優解;在一般規模案列下,精確算法已經不適用;ALNS算法求解時間和質量與Gurobi求解所得相似。
結論:
本研究分析油氣田生產過程中修井作業及修井機的特征,提出多優先級評估下的修井作業調度優化模型。調度模型在一般規模案例下能夠實現分鐘級精確求解。同不考慮優先級評估的調度模型相比,所提模型雖會造成總調度周期下的分配作業量減少與企業生產成本增加,但其能夠有效響應各項作業需求,確保修井作業的及時性和安全性。同精確算法與ALNS算法相比,Gurobi求解器在一般規模問題下表現優異,執行效率高且求解精確。
通訊作者簡介:
高小永,人工智能學院副院長,教授,博士生導師,石大學者,校青年拔尖人才,自動化專業及控制科學與工程學科建設負責人,擔任北京自動化學會常務理事、中國自動化學會過程控制專業委員會委員、中國自動化學會教育工作委員會委員、中國化工學會信息技術應用專業委員會副秘書長、中國系統工程學會過程系統工程專業委員會委員等。研究領域為復雜石油石化工業過程智能制造,主要方向有:機理與數據驅動的故障診斷、復雜工業過程建模與優化控制、工業過程計劃與調度優化等。主持國家自然科學基金項目2項、北京市自然科學基金面上項目1項、校企聯合項目20多項,發表SCI/EI等各類論文50多篇。
Email:x.gao@cup.edu.cn