發表期刊: ISA Transactions, 2020 (JCR Q1, 中科院2區, SCI)
原文DOI: https://doi.org/10.1016/j.isatra.2020.08.017
作者列表:
1) 張明卿 中國石油大學(北京)信息科學與工程學院 自動化系博18
2) 羅雄麟 中國石油大學(北京)信息科學與工程學院 自動化系
采用高效的過程監控技術是保證過程運行安全、提高產品質量的關鍵。為此,本文設計了一種改進的基于動態核分解的典型變量分析方法,用于解決動態非線性過程質量監控問題。與傳統的典型變量分析及其擴展核方法不同,該方法的主要目的是在輸入動態核隱變量和輸出變量之間建立一個偏相關非線性模型,并且對此非線性模型進行正交分解,得到與質量完全相關的子空間特征。此外,考慮到隱變量特征依然存在時序性,詳細推導了質量相關子空間特征的過去和未來向量的Hankel矩陣,構造相應的統計度量。
為解決工業過程故障監測與診斷問題,多元統計過程監測(MSPM)成為近十年來研究的重點。其代表方法主要有主成分分析(PCA)、偏最小二乘法(PLS)和典型變量分析(CVA)。盡管PCA和PLS已經進行了大量的研究,但兩種方法的實現都存在靜態和線性的假設前提。在實際工業過程中,這些假設是不可能被保證的。過程中的當前變化取決于被測變量的歷史數據。為了克服這一問題,提出了動態PCA和動態PLS方法。通過引入時滯,可以反映數據對時間的依賴性。CVA是一種子空間識別(SSI)監測方法,它提取過去和未來向量的Hankel矩陣的最大相關性,以實現過程監控。盡管CVA、DPCA和DPLS都是用來提取動態特征的,但它們仍然處理的是線性關系。在大多數工業過程中,變量之間實際上是高度非線性的,因此,這些線性方法在各種實際情況下的應用受到限制。
本文討論的是非線性動態過程的質量監控。首先建立輸入—輸出之間的ARX模型來提取動態特性。隨后,將輸入動態增廣特征投影到高維核空間中,建立輸入動態核隱變量與輸出之間的偏相關模型。采用正交分解分解偏相關模型,實現輸出質量相關性最大化的特征,并詳細推導其過去向量與未來向量的Hankel矩陣形式,構造統計監控量。最后,通過數值仿真,田納西-伊斯曼過程和實際工業過程帶鋼熱軋為例驗證了目的方法的有效性。在這里,由于建立動態核隱變量與輸出之間的偏相關性模型,使得計算復雜度大大降低。
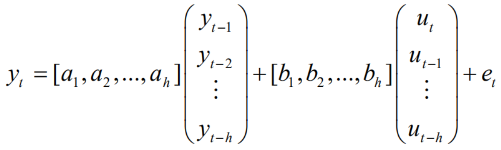
Step1.給定系統的輸入輸出形式
,為提取輸入輸出之間的動態特征,建立輸入-輸出ARX模型。

將輸入
投影到高維空間
,得到
。歸一化處理得到
。求取二者之間的協方差
,并進行正交分解得到左右兩個矩陣U和V。

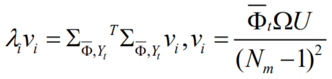
Step2.定義兩個變量
,其中,
![]()
是完全相關于
。
獨立性證明: ![]()
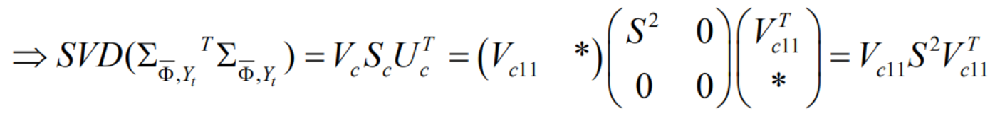
Step3.擴展
方差形式,并進行奇異值分解得到負載向量。

其中
。
,則有
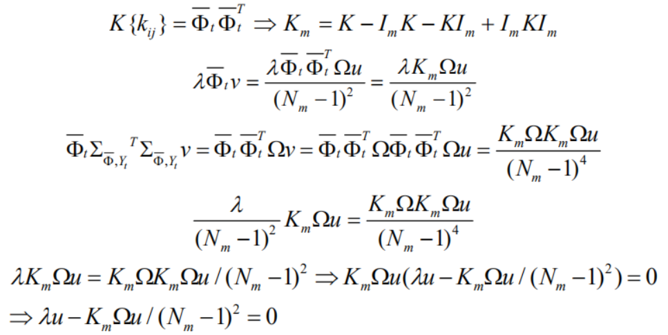
然而,直接求取
是困難的,將其轉化為核矩陣的形式并進行歸一化處理。

因此,最終得到的非線性動態模型的特征以及對應的Hankel矩陣為:

Step4.求取對應的協方差以及交叉協方差,具體如下,

最終得到用于計算統計監控量的具體形式:
![]()
內空間統計量: ![]()
殘差空間統計量: ![]()
對于實時采樣數據或者在線操作過程數據到來時,對比統計量與控制限的大小,若超過控制限,則系統判定為故障發生,否則系統正常。

以帶鋼熱軋過程為例,該故障是由F4輥隙控制執行器故障引起的。故障發生后,F4輥隙采樣受到影響,隨后,由于反饋控制的作用,后續機架的輥縫和軋制力會發生變化,從而影響最后一機架的出口厚度。作為一種與質量有關的故障,故障發生在過程運行20s后,即從2000個采樣點檢測到故障出現。
實驗結果:本文對比了5種方法,分別為DKPCA,CVA,KCVA,IKCVA以及目的方法DKDCVA。五種方法均能在2000個采樣點上測試到故障的發生。然而,DKDCVA方法得到的誤檢率與漏檢率均最低,尤其是在主成分空間。結果說明,本文方法在不犧牲假陰性率的前提下,降低了假陽性率,而且提出的DKDCVA方法有效地保留用于質量監控的最大特征,從而可以更直觀地得到DKDCVA方法的監測優勢。





羅雄麟,博士
現任中國石油大學(北京)教授、博士生導師、自動化專業(教育部高等學校特色專業)負責人、控制科學與工程(博士一級)學科負責人,校學術委員會委員、校學位委員會委員。北京人工智能學會理事會常務理事、北京自動化學會理事會常務理事。
控制理論與過程控制、化工系統工程、機器學習學者??蒲泄ぷ魃婕翱刂评碚摷皯?、過程控制工程、過程系統工程和機器學習等,同時長期從事煉油化工過程軟測量儀表與先進控制、過程流程模擬與實時優化等技術開發與工程應用工作。